Конденсатором называется система из двух или более проводников (обкладок), разделенных диэлектриком, предназначенная для использования ее электрической емкости. Доля конденсаторов в радиоэлектронной аппаратуре составляет около 25 % от всех элементов схемы.
1. Электрическая емкость - способность накапливать на обкладках конденсатора электрический заряд. Если взять две изолированные металлические пластины, расположенные на некотором расстоянии друг от друга, и зарядить их равными разноимёнными зарядами, то на одну из пластин при этом перейдёт некоторый отрицательный заряд (добавится некоторое избыточное число электронов), а на другой появится равный ему положительный заряд (соответствующее число электронов будет удалено из пластины). Емкость характеризуется отношением заряда к величине напряжения на обкладках:
C = q/U
Емкость зависит от геометрических размеров обкладок, толщины диэлектрика и его диэлектрической проницаемости. Диэлектрическая проницаемость в свою очередь у конденсаторов постоянной емкости - константа, а у нелинейных конденсаторов - зависит от напряженности электрического поля.
Номинальная емкость - условное значение емкости, полученное на стадии проектирования, указываемое на корпусе электроэлемента или таре.
Указывается в единицах Фарад: нФ(nF), мкФ (μF), пФ (pF). Для справки: емкость Земли составляет 708 мкФ. Промышленностью изготавливаются конденсаторы постоянной емкости от одного пФ до нескольких десятков тысяч мкФ. Номинальные значения емкости выбираются из рядов Е3, Е6, Е12 и Е24.
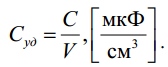
2. Удельная емкость определяется как отношение емкости к объему конденсатора:

У оксидно-полупроводниковых конденсаторов значение удельной емкости достигает 300 мкФ/см3.
Основные конструкции конденсаторов изображены на рисунке 1.1. Для каждой из них емкость определяется по определенной формуле.

Рис. 1.1. Конструкции конденсаторов: а) пластинчатая; б) цилиндрическая; в) спиральная
3. Допускаемое отклонение фактической величины от номинальной называется допуском и указывается в процентах или с помощью класса точности, аналогично резисторам. То есть первому классу соответствует допустимое отклонение ±5 %, второму - ±10 %, третьему - ±15 %, четвертому - от минус 20 % до 30 %, пятому - от минус 20 % до 50 % и т.д. Классы точности и допуски регламентированы ГОСТ 9661-73. Конденсаторы первого класса точности используются в колебательных контурах и в ответственных цепях, а в развязывающих и блокирующих цепях достаточно использовать элементы третьего класса.
4. Электрическая прочность - важный параметр для конденсатора, зависящий от свойств и геометрических размеров диэлектрика. На корпусе или на упаковке указывается Uном - максимальное (обычно постоянное напряжение), под которым при нормальных условиях (температура 15…25 C влажность 45...75 %, давление 650...800 мм.рт.ст.) конденсатор может находиться в течение всего гарантированного срока службы. Электрическую прочность характеризуют также:
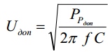
Uраб- напряжение, при котором конденсатор может работать длительное время (до 10 тыс. часов). Для его определения необходимо использовать значение реактивной мощности при заданной емкости и частоте сигнала:

При превышении значения Uдоп произойдет тепловой пробой конденсатора.
Uисп - напряжение, которое конденсатор может выдержать без пробоя незначительное время (от 5 с до 1 мин);
Uпроб - минимальное напряжение, которое приводит к пробою.
Величина электрической прочности конденсатора в значительной мере определяется механизмом пробоя диэлектрика. При тепловом характере пробоя повышение температуры, частоты и напряжения снижает электрическую прочность конденсатора.
Наличие воздушных включений в диэлектрике и их ионизация под воздействием электрического поля приводит к местному перегреву и к снижению электрической прочности.
Помимо сквозного пробоя может наблюдаться и поверхностный. Для высоковольтных конденсаторов увеличивают закраины и изготавливают их специальной формы.
5. Собственная индуктивность - должна учитываться при использовании конденсаторов в индуктивно-частотных цепях, поскольку конденсаторы обладают кроме емкостного Xс еще активным r и индуктивным сопротивлением Xl Индуктивное сопротивление создается за счет индукции внешних и внутренних соединительных проводников. Последовательная эквивалентная схема конденсатора изображена на рис. 1.2.

Рис. 1.2. Эквивалентная схема конденсатора
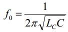
Зависимость полного сопротивления конденсатора от частоты имеет U-образный характер (рис. 1.3) и определяется соотношением:
![]()
При частоте выше резонансной:

конденсатор проявляет свойства индуктивности, поэтому рабочая частота должна быть в 2...3 раза меньше значения fo. Величина fo в основном зависит от собственной индуктивности конденсатора.
Наибольшими значениями fo и, следовательно, наименьшим значением Lc обладают керамические и некоторые виды слюдяных конденсаторов (3…10)*10-3 мкГн. Самым низким значением Хс обладают опорные дисковые керамические конденсаторы (fo = 2000 МГц). Собственная индуктивность снижается при уменьшении: размеров конденсаторной секции и длины внутренних соединений электроэлемента, длины выводов, а также при увеличении толщины выводов (лучше всего выводы, изготовленные в виде лент).
На практике для обеспечения работы блокировочных конденсаторов, у которых обкладки выполнены в виде длинных лент из фольги, свернутых вместе с диэлектриком в рулон круглой или иной формы, в широком диапазоне частот, параллельно бумажному подключают керамический или слюдяной конденсатор небольшой емкости.

Рис. 1.3.
6. Параметры, характеризующие потери в конденсаторе. а) Сопротивление изоляции. При подаче напряжения через диэлектрик конденсатора начинает протекать ток утечки, обусловленный наличием в материале свободных ионов, перемещающихся под действием электрического поля, а также дефектами кристаллической решетки. Ток утечки замеряют после нахождения конденсатора под напряжением в течение одной минуты. Диапазон значений сопротивления изоляции: 103 ...104 МОм. Оно зависит от температуры и относительной влажности и с повышением этих параметров сопротивление изоляции может уменьшаться на несколько порядков.
Например, у бумажных конденсаторов ток утечки составляет десятые доли мкА, а у слюдяных - единицы мА. Наличие тока утечки является причиной саморазряда конденсатора.
Скорость изменения напряжения (снижение) на выводах конденсатора в процессе саморазряда определяется постоянной времени:
τc = Rиз C [МОм * мкф].
Постоянная времени τc численно равна количеству секунд, необходимых для того, чтобы напряжение на выводах конденсатора в процессе саморазряда упало до 37% от первоначального значения. Для различных типов конденсаторов величина различна. Например, у электролитических τc составляет несколько секунд, у керамических - несколько минут, у бумажных - несколько часов, у полистирольных и фторопластовых - несколько дней.
б) Добротность - характеристика потерь энергии в конденсаторе (суммарные потери в диэлектрике и металлических элементах). Добротность - величина, обратная тангенсу угла потерь:
Q = 1/tgδ
На низких частотах определяющими являются потери в диэлектрике, на высоких - в металле. Потери зависят от температуры, влажности, частоты. Температурная зависимость потерь конденсатора определяется зависимостью потерь диэлектрика от температуры. С повышением температуры, частоты и влажности потери в диэлектрике и металле увеличиваются, так как возрастают потери на проводимость.
7. Параметры, характеризующие стабильность. Стабильность - это способность элементов сохранять свои первоначальные параметры в пределах, установленных ТУ и ГОСТ при воздействии внешних факторов. В первую очередь учитывается температура окружающей среды. Изменения, вызываемые колебанием температуры делятся на обратимые и необратимые. Обратимое изменение параметра - это такое, при котором параметр изменяется в соответствии с изменением температуры, а после установления первоначальной температуры параметр возвращается к своему исходному значению. Такие изменения характеризуются температурным коэффициентом (ТК).
ТК показывает относительное изменение величины параметра при изменении температуры на 1 градус Цельсия (Кельвина):
ТКЕ= ΔС/C0ΔR
Конденсаторы с линейной или близкой к ней зависимостью емкости от температуры разделены на группы по ТКЕ (табл. 1.1), а с нелинейной - на группы по допускаемому изменению емкости от температуры в % (табл. 1.2).
Группа (обозначение) | ТКЕ при t = 20...85 °С , х10-6, 1/°С |
П100 (П120) | +100(+120) |
П60 | +60 |
П33 | +33 |
МП0 | 0 |
М33 | -33 |
М47 | -47 |
М75 | -75 |
М150 | -150 |
М220 | -220 |
М330 | -330 |
М470 | -470 |
М750 (М700) | -750 (-700) |
М1500 (М1300) | -1500 (-1300) |
М2200 | -2200 |
М3300 | -3300 |
Необратимые изменения - изменения при неоднократном воздействии температуры, когда параметр не возвращается к своему исходному значению при возвращении температуры к начальному значению. Они характеризуются коэффициентом температурной нестабильности (КТН).
КТН - относительное изменение параметра после изменений температуры:
КТНЕ= βc = ΔС/С.
Группа (обозначение) | Отклонение в интервале рабочих температур, % |
Н10 | ±10 |
Н20 | ±20 |
Н30 | ±30 |
Н50 | ±50 |
Н70 | ±70 |
Н90 | ±90 |
Необратимые изменения свидетельствуют о несовершенстве конструкции элемента, в котором могут возникать остаточные деформации и проявляться механизмы старения.
Для сохранения настройки колебательных контуров при работе в широком диапазоне температур используется последовательное и параллельное соединение конденсаторов, у которых ТКЕ имеют разные знаки. Благодаря этому при изменении температуры частота настройки такого термокомпенсированного контура останется практически неизменной.
8. Диэлектрическая абсорбция конденсаторов - явление, заключающееся в появлении напряжения на обкладках конденсатора после кратковременной разрядки конденсатора (рис. 1.4). Обуславливается замедленными процессами поляризации в диэлектрике. Напряжение Uост зависит от длительности зарядки t1, времени разряда и времени, прошедшего после этих процессов. Абсорбция диэлектрика конденсаторов характеризуется коэффициентом Ка, значения которого минимальны у полистирольных и фторопластовых конденсаторов 0,03...0,1 % и максимальны у керамических: 5.15 %. С повышением температуры окружающей среды значение Ка увеличивается.
9. Параметры, характеризующие надежность. 80% - отказов конденсаторов происходит из-за пробоя, 8% - из-за уменьшения емкости, 5% - из-за ухудшения изоляции, остальная часть - по другим причинам.

Рис. 1.4. Явление абсорбции конденсатора
По характеру изменения емкости конденсаторы по аналогии с резисторами делятся на следующие виды: постоянной емкости, переменной емкости и подстроечные. На электрических схемах в зависимости от вида различается и обозначение конденсаторов (см. рис.1.5).

а) б)
Рис. 1.5. Обозначение на электрической принципиальной схеме конденсаторов: а) - постоянной емкости; б) - переменной емкости и подстроечные
Конденсаторы с постоянной емкостью используются как элементы контуров в фильтрах вместе с катушками индуктивности и резисторами, для разделения сигналов, сглаживания колебаний напряжения и для блокировки.
Конденсаторы с переменной емкостью используются при настройке контуров и режимов работы схем при частых регулировка хв процессе работы аппаратуры. Изменение емкости может осуществляться механически, с помощью приложенного напряжения (вариконды и варикапы) и температуры (термоконденсаторы).
Подстроечные конденсаторы используются при подгонке емкости до заданной величины в процессе настройки электронной аппаратуры.
Конденсаторы постоянной емкости и подстроечные стандартизованы ГОСТ, а переменной емкости - выпускаются по индивидуальным заказам.
Поскольку электрические свойства и область применения конденсаторов в основном определяется диэлектриком, разделяющим обкладки, то классификация производится по типу диэлектрика.
Буквенная кодировка обозначает тип, свойства и конструктивное исполнение конденсатора (см. табл. 1.3).
Свойство конденсатора | Маркировка | Расшифровка |
1. Тип диэлектрика | Б | Бумажный |
МБ | Металлобумажный | |
П | Пленочный | |
МП | Металлопленочный | |
С | Слюдяной | |
К | Керамический | |
Э | Электролитический | |
Ф | Фторопластовый | |
СК | Стеклокерамический | |
2. Вид защиты от внешних воздействий | О | Открытый или опрессованный |
Г | Герметизированный | |
3. Конструктивные особенности | Т | Трубчатый |
Д | Дисковый | |
И | Пластинчатый или плоский | |
Б | Бочоночный | |
Г | Горшкообразный | |
Ц | Цилиндрический | |
М | Монолитный | |
С | Секционный | |
Л | Литой | |
4. Особенность | В | Высоковольтный |
Т | Термостойкий | |
М | Малогабаритный | |
П | Проходной | |
Ч | Частотный | |
У | Ультракоротковолновый | |
О | Объемно-пористый анод | |
Т | Танталовый |
Например, КЛС - керамические литые секционные; КБГИ - конденсаторы бумажные герметизированные изолированные; МБГЧ - металлобумажные герметизированные частотные; КЭГ - конденсаторы электролитические герметизированные и т.п.
В ГОСТ 13 453-68 введена система обозначений следующего вида:
![]()
Первый элемент обозначает вид электроэлемента: К - конденсатор постоянной емкости, КП - переменной емкости, КТ - подстроечные.
Второй элемент - число, в котором закодирована группа конденсатора по типу диэлектрика и свойства электроэлемента (рассмотрены ниже).
Третий элемент - буква, обозначающая режим работы. Варианты:
П - для работы в цепях постоянного и переменного тока;
Ч - для цепей переменного тока;
У - в цепях постоянного и переменного импульсных токов (универсальные);
И - в импульCном режиме;
отсутствие буквы - для цепей постоянного и пульсирующего токов.
Четвертый элемент обозначает исполнение или номер разработки.
По типу диэлектрика конденсаторы делятся на следующие группы.
I группа
К10 - керамические низковольтные Uном < 1600 В;
К15 - то же Uном > 1600 В.
II группа
К20 - кварцевые;
К21 - стеклянные;
К22 - стеклокерамические;
К23 - стеклоэмалевые.
III группа
К31 - слюдяные маломощные;
К32 - слюдяные большой мощности.
IV группа
К40 - бумажные с фольговыми обкладками Uном < 2000 В;
К41 - тоже Uном > 2000 В;
К42 - бумажные, с металлизированными обкладками.
V группа
К50 - электролитические с алюминиевым анодом;
К51 -электролитические с фольгированными обкладками из тантала или ниобия;
К52 - электролитические, танталовые с объемно-пористым анодом;
К53 - электролитические, оксидно-полупроводниковые;
К54 - электролитические, оксидно-металлические; у 50, 51 типа - электролит пастообразный; у 52 - жидкий; у 54 электролита нет и они могут работать до 300…400°С.
VI группа
С воздушным диэлектриком. Применяются в мощных передающих устройствах.
К60 - воздушные;
К61 - вакуумные.
VII группа
К70 - полистирольные с фольговыми обкладками;
К71 - полистирольные с металлизированными обкладками;
К72 - фторопластовые с фольговыми обкладками;
К73 - с полиэтилентерефталатной пленкой (лавсан) и с металлизированными обкладками;
К74 -то же, с фольговыми обкладками;
К75 - комбинированные (лавсановая пленка и бумага);
К76 - лакопленочные (пленка целлюлозы);
К77 - поликарбонатные;
К78 - полипропиленовые.
По назначению конденсаторы можно разделить на две группы:
- общего назначения, к которой относятся наиболее распространенные типы низковольтных конденсаторов, использующихся в аппаратуре общего назначения, к параметрам которых не предъявляются жесткие требования;
- специального назначения: высоковольтные, высокочастотные, импульсные помехоподавляющие, дозиметрические, пусковые и другие.
По способу монтажа конденсаторы могут быть предназначены для навесного монтажа или печатного. А выводы конденсаторов могут быть жесткие или мягкие; проволочные или ленточные, в виде лепестков, с кабельным вводом, в виде опорных проходных шпилек, опорных винтов и т.п.
Конденсаторы постоянной емкости в зависимости от применяемого диэлектрика подразделяются на конденсаторы с воздушным и с твердым диэлектриком. Конденсаторы с воздушным диэлектриком обладают большими размерами и высокой стоимостью. Находят в настоящее время ограниченное применение в контурах мощных радиопередатчиков и в промышленных генераторах высокой частоты (ВЧ).
В свою очередь конденсаторы с твердым диэлектриком делятся на: конденсаторы с органическим диэлектриком, к которым относится бумага, полистирол, фторопласт и другие органические пленки, нашедшие широкое применение в конденсаторостроении; и конденсаторы с неорганическим диэлектриком, к которым относятся керамика, стекло, стеклокерамика, слюда.
Конденсаторы с органическим диэлектриком изготавливают намоткой тонких длинных лент, а обкладки либо фольговые, либо напыляются. Эта группа конденсаторов обладает пониженной стабильностью параметров, высокими значениями потерь на переменном токе. Исключение составляют конденсаторы, изготовленные на основе неполярных пленок; для этой группы конденсаторов характерны емкости, достигающие нескольких десятков микрофарад.
К низкочастотным пленочным относятся конденсаторы с диэлектриком из полярных и слабополярных пленок: бумажные, металлобумажные, полиэтилентерефталатные, комбинированные, лакопленочные, поликарбонатные и полипропиленовые. Частота работы до 105 Гц.
К высокочастотным пленочным относятся конденсаторы на основе неполярных пленок: полистирольные и фторопластовые. Частота работы до 107 Гц.
В высоковольтных конденсаторах постоянного напряжения используется бумага, полистирол, политетрафторэтилен, полиэтилентерефталат, комбинированный состав. Импульсные высоковольтные конденсаторы производят на основе бумажного и комбинированного диэлектрика, они имеют относительно большое время заряда и малое время разряда. Высоковольтные конденсаторы должны иметь большое сопротивление изоляции и возможность быстро разряжаться.
Помехоподавляющие конденсаторы предназначены для ослабления электромагнитных помех в широком спектре частот. Они обладают малой собственной индуктивностью, из-за чего повышается резонансная частота и полоса подавляемых частот. Диэлектрик в таких конденсаторах бумажный, пленочный или комбинированный.
Дозиметрические конденсаторы работают с низким уровнем токовых нагрузок, но они должны обладать малым саморазрядом, большим сопротивлением изоляции, а, следовательно, большой величиной постоянной времените.
Пусковые конденсаторы используются в асинхронных двигателях, в которых конденсатор используется только в момент пуска двигателя.
Конденсаторы с неорганическим диэлектриком обладают высокой стабильностью параметров, повышенной диэлектрической проницаемостью, большой нагревостойкостью, механической прочностью, высокой химической стабильностью, но из-за больших габаритов не могут быть выполнены с большим значением номинальной емкости. Их предел - несколько тысяч пикофарад. В эту группу входят низковольтные, высоковольтные и помехоподавляющие электроэлементы. Конденсаторы, используемые для работы в резонансных контурах должны иметь малые потери и высокую стабильность емкости (слюдяные и стеклоэмалевые, керамические и стеклокерамические), а для работы в фильтрах, блокировки и развязки - такие качества не требуются (керамические и стеклокерамические). Керамические конденсаторы с барьерным слоем имеют меньшее значение сопротивления изоляции и большее значение тангенса угла потерь, что ограничивает их использование на высоких частотах.
Помехоподавляющие конденсаторы предназначены для подавления индустриальных и высокочастотных помех, создаваемых промышленными и бытовыми приборами, т.е. они являются фильтрами нижних частот (ФНЧ). Они делятся на опорные (один из выводов - опорная пластина с резьбовым соединением) и проходные - коаксиальная конструкция у которой один из выводов представляет собой тонкий стержень, по которому протекает ток внутренней цепи.
В особую группу выделены конденсаторы с диэлектриком в виде оксидной пленки, образованной на поверхности металлических электродов. Это группа оксидных (электролитических) конденсаторов, которые обладают значительной емкостью, достигающей несколько сотен милифарад, но имеют невысокую электрическую прочность и плохую стабильность емкости, поэтому они применяются только в цепях постоянного и пульсирующего токов.
По характеру защиты от внешних воздействий конструкции конденсаторов бывают:
- защищенные- допускается эксплуатация в аппаратуре любого конструктивного исполнения;
- незащищенные - допускают эксплуатацию в условиях повышенной влажности только в составе герметизированной аппаратуры;
- изолированные- с покрытием;
- неизолированные - не допускают касания корпуса к шасси прибора;
- уплотненные- имеют опрессовку органическими материалами;
- герметизированные - исключают взаимодействие частей конденсатора с окружающей средой. Герметичность обеспечивается при использовании металлических и керамических корпусов или запайкой конструкции в стеклянную колбу.
Запись в конструкторской документации (КД), например, К75-10-250В-0,1мкФ±5%-В-ОЖО.484.865 ТУ, состоит из сокращенного обозначения, значений основных параметров и характеристик электрического конденсатора.
На конденсаторы достаточно большого размера маркируется тип, номинальная емкость, допуск или класс точности, номинальное напряжение, логотип завода-изготовителя, дата изготовления (месяц, год), номер партии. Если конденсаторы определенного типа выпускаются только одного класса точности, то отклонение не маркируется. С помощью цвета или специальных знаков кодируется ТКЕ. Маркировка конденсаторов стандартизирована. В зависимости от размеров конденсаторов используется полная или сокращенная (кодированная) система.
Первый способ предусматривает использование двух или трех цифр и буквы, обозначающей множитель:
- для обозначения пФ: "р" или "П" (например, 5,6пФ=5р6=5П6);
- для нФ: "n" или "Н" (например, 150пФ=150р=п15=150П=Н15);
- для мкФ: "т"или "М"; (например, 2,2 мкФ=2m2=2М2);
- для мФ: "т" или "И";
- для Фарад: "F" или "Ф" (например, 220 мкФ=220m=m22=150М=И150).
Маркировка отклонений или соответствующих им классов точности, наносимых на корпус конденсаторов, приведены в таблице 2.1.
Значение номинального напряжения конденсатора кодируется по аналогичному принципу: числу соответствует буква латинского алфавита (см. табл. 2.2).
Необходимо отметить, что кодированные значения номинальной емкости и допустимых отклонений маркируются одной строчкой без разделительных знаков. Далее проставляются коды в порядке, установленными ГОСТ и ТУ на конкретный вид конденсаторов. При этом год выпуска конденсаторов также кодируется двумя буквами латинского алфавита, либо буквой и арабской цифрой.
Основные параметры конденсаторов: номинал, допуск и номинальное напряжение могут быть закодированы цветовой маркировкой в виде колец (см. табл. 2.3). Это производится по аналогии с кодированием параметров резисторов, описанным в.
Допустимое отклонение, % | Класс точности (новое/старое обозначение) | Допустимое отклонение, % | Класс точности (новое/старое обозначение) |
±0,001 | E/- | ±5,0 | J/И |
±0,002 | L/- | ±10 | К/С |
±0,005 | R/- | ±20 | М/В |
±0,01 | P/- | ±30 | N/Ф |
±0,02 | U/- | -10...+30 | Q/- |
±0,05 | X/- | -10...+50 | Т/Э |
±0,1 | В/Ж | -10…+100 | Y/Ю |
±0,25 | C/У | -20…+50 | S/Б |
±0,5 | D/Д | -20...+80 | Z/А |
±1,0 | F/P | +100 | -/Я |
±2,0 | G/Л |
|
|
Uном, В | Обозначение | Uном, В | Обозначение |
1,0 | I | 63 | K |
1,6 | R | 80 | L |
2,5 | M | 100 | N |
3,2 | A | 125 | P |
4,0 | C | 160 | Q |
6,3 | B | 200 | Z |
10 | D | 250 | W |
16 | E | 315 | X |
20 | F | 350 | T |
25 | G | 400 | Y |
32 | H | 450 | U |
40 | S | 500 | V |
50 | J |
|
|
Цвет полоски | Номинальная емкость, пФ (первая полоса) | Множитель емкости | Допустимое отклонение, % | Номинальное напряжение, В |
Серый | - | - | - | 3,2 |
Черный | 10 | 1 | ±20 | 4,0 |
Коричневый | 12 | 101 | ±1 | 6,3 |
Красный | 15 | 102 | ±2 | 10 |
Оранжевый | 18 | 103 | ±0,25 | 16 |
Желтый | 22 | 104 | ±0,5 | 40 |
Зеленый | 27 | 105 | ±1,0 | 25 |
Голубой | 33 | 106 | -20...+50 | 32 |
Фиолетовый | 39 | 107 | -20...+80 | 50 |
Серый | 47 | 10-2 | ±10 | - |
Белый | 56 | 10-1 | - | 63 |
Серебристый | 68 | - | - | 2,5 |
Золотистый | 82 | - |
| 1,5 |
Кроме отечественной маркировки, применяется способ цифровой кодировки номинальной емкости с помощью трех или четырех цифр (см. табл. 2.4) в соответствии со стандартом IEC (Международной электротехнической комиссии) для импортной элементной базы. Первые две или три цифры обозначают значение емкости в пикофарадах, а последняя цифра -степень множителя 10 (количество нулей). При обозначении емкостей 1 пФ и менее первая цифра-"0" (то есть 010 обозначает 1 пФ), а при обозначении емкостей менее 10 пФ последней цифрой может быть "9" (например, "109"также обозначает номинал в1 пФ). В качестве разделительной запятой используется "R" (например, запись"0R5" обозначает 0,5 пФ).
Для кодировки емкостей конденсаторов в микрофарадах применяются обозначения: "1"- 1 мкФ, "10"- 10 мкФ, "100"- 100 мкФ. В качестве разделительной запятой также используется буква "R": "R1"обозначает 0,1 мкФ, "R22"- 0,22 мкФ, "3R3"- 3,3 мкФ. При этом при обозначении емкости в мкФ перед буквой "R" цифра "0" не ставится (она указывается только при обозначении емкостей менее 1 пФ).
После обозначения емкости точности -буквенный символ.
Цифровой код | Номинальная емкость, пФ | Цифровой код | Номинальная емкость, пФ |
109 | 1,0 | 103 | 10000 |
159 | 1,5 | 153 | 15000 |
229 | 2,2 | 223 | 22000 |
339 | 3,3 | 333 | 33000 |
479 | 4,7 | 473 | 47000 |
689 | 6,8 | 683 | 68000 |
100 | 10 | 104 | 100000 |
150 | 15 | 154 | 150000 |
220 | 22 | 224 | 220000 |
330 | 33 | 334 | 330000 |
470 | 47 | 474 | 470000 |
680 | 68 | 684 | 680000 |
101 | 100 | 105 | 1000000 |
151 | 150 | 1622 | 16200 |
221 | 220 | 4753 | 475000 |
331 | 330 |
|
|
471 | 470 | ||
681 | 680 | ||
102 | 1000 | ||
152 | 1500 | ||
222 | 2200 | ||
332 | 3300 | ||
472 | 4700 | ||
682 | 6800 |
ТКЕ, если он положительный, обозначается "Р", отрицательный - "N".
SMD-конденсаторы маркируются двумя (одной) буквами и цифрой. Первая буква, если она указана, обозначает код завода- изготовителя (например, "K" - Kemet). Вторая буква кодирует мантиссу (см. табл. 2.5), а цифра обозначает степень десятичного основания в пФ. Например, маркировка "В3" обозначает 1,1х103 пФ или 1,1 нФ.
Код | Значение мантиссы | Код | Значение мантиссы |
A | 1,0 | d | 4,0 |
B | 1,1 | R | 4,3 |
C | 1,2 | e | 4,5 |
D | 1,3 | S | 4,7 |
E | 1,5 | f | 5,0 |
F | 1,6 | T | 5,1 |
G | 1,8 | U | 5,6 |
H | 2,0 | m | 6,0 |
J | 2,2 | V | 6,2 |
K | 2,4 | W | 6,8 |
a | 2,5 | n | 7,0 |
L | 2,7 | X | 7,5 |
M | 3,0 | t | 8,0 |
N | 3,3 | Y | 8,2 |
b | 3,5 | y | 9,0 |
P | 3,6 | Z | 9,1 |
Q | 3,9 |
|
|
Наибольшее распространение среди конденсаторов с неорганическим диэлектриком получили керамические конденсаторы. Составы керамических диэлектриков весьма разнообразны, что обеспечивает большой диапазонизменения величины диэлектрической проницаемости ε от 6 единиц до десятков тысяч и ТКЕ: (-3,3...0,12)10-3 1/С. Составы подразделяются на ВЧ- тип I и НЧ - типы II и III. Первый тип имеет: малые потери, незначительную собственную индуктивность и нормированное значение ТКЕ. Конденсаторы II и III типов за счет большой диэлектрической проницаемости имеют значительную удельную емкость, но и большие потери.
Все керамические конденсаторы состоят из керамического диэлектрика, электродов, нанесенных путем вжигания металлов (в основном благородных - серебро, платина, палладий), припаянных выводов и защитного покрытия. Для этого типа конденсаторов используется пластинчатая конструкция электродов, при этом можно получить лишь незначительную емкость. Один из способов увеличения площади обкладок керамических конденсаторов реализуется в пакетной конструкции (рис. 2.1). Она применяется также в слюдяных, стеклоэмалевых и стеклокерамических конденсаторах. На тонкую основу 1 толщиной 0,015... 0,025 мм напыляется металл, который образует обкладки 2 к которым присоединяются полоски фольги 3. Такие полоски служат для образования общего контакта. Пакет собирается и спрессовывается обжимами 4, к которым присоединяются гибкие выводы 5. Вся конструкция покрывается влагозащитной эмалью. Количество пластин может достигать 100 штук. Такой пакет можно изготовить и с помощью групповой технологии, суть которой в следующем. На сырые керамические пленки наносится металлосодержащая паста, после чего формируют пакеты и обжигают их при температуре 1100...1450 °С. В связи с тем, что температура обжига велика, то необходимо использовать металлы с высокой температурой плавления (платина, палладий). Это увеличивает стоимость готовых конденсаторов, поэтому такие модели электроэлементов используются только в ответственных случаях.

Рис. 2.1. Пакетная конструкция конденсаторов
Обозначались конденсаторы такой конструкции маркировкой КМ - керамические монолитные, а в случае одной секции: КП - керамические пластинчатые. Параметры конденсаторов с пакетной конструкцией приведены в таблице 2.6, а с пластинчатой и секционной - в таблице 2.7. Пластинчатые конденсаторы с керамическим диэлектриком могут иметь форму диска или прямоугольную конструкцию.
Тип | Параметр | Значение |
К10-9
| tокр.ср. | -60...+85°С |
Cном | 5,6 пФ...6,8 мкФ | |
Отн. влажность | До 80 % | |
Масса | До 1г | |
ТКЕ | М1500...П33; Н20, Н30, Н90 | |
К10-17
| tокр.ср. | -60...+85°С |
Отн. влажность | До 80 % | |
Uном | До 100 В | |
Масса | До 2 г | |
ТКЕ | М1500...П33; Н50,Н90 | |
К10-23
| tокр.ср. | -60...+85°С |
Cном | 2,2 пФ...0,033 мкФ | |
Отн. влажность | До 98 % | |
Uном | До 16 В | |
Масса | До 1 г | |
ТКЕ | М1500...П33; Н30 | |
К10-52
| tокр.ср. | -60...+315°С |
Cном | 10...7500 пФ | |
Отн. влажность | До 80 % | |
Uном | До 100 В | |
Масса | До 1 г | |
ТКЕ | М47, П120 | |
К10-42 СВЧ
| tокр.ср. | -60...+125°С |
Cном | 1 пФ...22пФ | |
Отн. влажность | До 80 % | |
Uном | До 50 В | |
fраб | До 2 ГГц | |
Масса | До 0,1 г |
Тип | Параметр | Значение |
К10-18
| tокр.ср. | -60...+85°С |
Cном | 1...2200пФ | |
Отн. влажность | До 98 % | |
Uном | До 500 В | |
Масса | До 1,5 г | |
ТКЕ | М1300...П100; Н70 | |
К10-19
| tокр.ср. | -60...+125°С |
Cном | 1.2200 пФ | |
Отн. влажность | До 98 % | |
Uном | До 160 В | |
Масса | До 1 г | |
ТКЕ | М1500...П33; Н70 | |
КЛС Литой секционный
| tокр.ср. | -60...+85°С |
Cном | 8,2 пФ...0,068мкФ | |
Отн. влажность | До 98 % | |
Uном | До 200 В | |
Масса | До 1,8 г | |
ТКЕ | М1500...М47; Н30...Н90 |
Секционная конструкция (рис. 2.2) позволяет увеличить емкость керамических конденсаторов за счет увеличения площади обкладок. Такие конденсаторы изготовляют путем литья горячей керамики, в результате чего получают керамическую заготовку с толщиной стенок около 100 мкм и прорезями (пазами) между ними, толщина которых порядка 130...150 мкм. Затем эта заготовка окунается в серебряную пасту, которая заполняет пазы, после чего осуществляют вжигание серебра в керамику. В результате образуется две группы серебряных пластин, расположенных в пазах керамической заготовки, к которым припаиваются гибкие выводы. Снаружи вся структура покрывается защитной краской.
Конденсаторы с трубчатой конструкцией используются для работы на высоких частотах и представляет собой керамическую трубку с толщиной стенок около 0,25 мм, на внутреннюю и внешнюю поверхность которой методом вжигания нанесены серебряные обкладки. Для присоединения гибких проволочных выводов внутреннюю обкладку выводят на внешнюю поверхность трубки и создают между ней и внешней обкладкой изолирующий поясок, снаружи на трубку наносится защитный состав.

Рис. 2.2. Секционная конструкция конденсаторов
С изменением состава керамики меняются параметры конденсаторов. Например, зарубежные керамические SMD - конденсаторы в зависимости от типа керамики, образуют следующие основные группы:
- NPO (COG) - высокостабильный керамический диэлектрик 1го класса по стандартам EIA, обладающий хорошей температурной стабильностью (ТКЕ линейный и близкий к нулю), электрические параметры не зависят от времени, напряжения и частоты сигнала, но имеющий низкую диэлектрическую проницаемость. SMD - конденсаторы больших номиналов, изготовленные с применением этого диэлектрика, наиболее дорогостоящие. Конденсаторы этой группы применяются в радиочастотных генераторах, точных таймерах, в ультрастабильных и прецизионных электронных устройствах.
- X7R - материал 2-го класса по EIA, имеет более высокую диэлектрическую проницаемость, но меньшую температурную стабильность (ТКЕ ± 15%). Электрические параметры прогнозируемо зависят от времени, напряжения и частоты сигнала. Конденсаторы с этим типом диэлектрика используются в радио, телеприемниках, компьютерах, аудио и видеотехнике в качестве развязывающих, шунтирующих, фильтрующих и защитных элементов, где небольшое изменение емкости при изменении температуры не является критичным.
- Z5U (ТКЕ -56...+22 %).
- Y5V (ТКЕ -82...+22 %).
Диэлектрики последних двух групп - это материалы общепромышленного назначения 3-го класса стабильности. Имеют очень высокую диэлектрическую проницаемость, что позволяет изготовить конденсаторы с большими значениями номинальной емкости, но разброс параметров таких электроэлементов значителен. Конденсаторы с диэлектриками этих типов применяются в фильтрах и развязывающих схемах радиоустройств.
Конденсаторы с диэлектриками NPO (COG) и X7R в SMD исполнении рассчитаны на напряжение 16...10 000 В.
В кодировке типа керамики согласно стандарту EIA используется три символа. Первый и второй обозначают нижний и верхний температурный диапазон работы электроэлемента, а третий - допустимое отклонение (см. табл. 2.8).
Рабочий диапазон температур, °С | Допускаемое отклонение емкости | ||||
Первый символ | Нижний предел | Второй символ | Верхний предел | Третий символ | Допуск, % |
Z | +10 | 2 | +45 | A | ±1,0 |
Y | -30 | 4 | +65 | B | ±1,5 |
X | -55 | 5 | +85 | C | ±2,2 |
|
| 6 | +105 | D | ±3,3 |
7 | +125 | E | ±4,7 | ||
8 | +150 | F | ±7,5 | ||
9 | +200 | P | ±10 | ||
|
| R | ±15 | ||
S | ±22 | ||||
T | -33...+22 | ||||
U | -56...+22 | ||||
V | -82...+22 | ||||
Керамические НЧ конденсаторы (группы "Я" по ТКЕ табл. 2.1) применяют в качестве шунтирующих, блокировочных, фильтровых, а также для связи между каскадами на низкой частоте.
К группе стеклянных конденсаторов можно отнести конденсаторы, диэлектриком в которых служит стекло, стеклокерамика и стеклоэмаль. По своим характеристикам эти конденсаторы близки к керамическим и могут эксплуатироваться в цепях постоянного, переменного, пульсирующего и импульсного тока. Достоинства стеклянных конденсаторов:
- диэлектрик обжигается при более низких температурах (500...750 °С);
- для электродов применяются менее дефицитные металлы - алюминий, серебро;
- высокая теплостойкость;
- не требуют защиты от влаги.
Для изготовления берется основа - тонкий лист стекла, который нарезается на заготовки. Их перекладывают фольгой и кладут на покровное стекло, спекают, а затем режут алмазным кругом.
Параметры некоторых представителей стеклянных и стеклокерамических конденсаторов приведены в таблице 2.9.
Тип | Параметр | Значение |
СКМ-1 С разнонаправленными выводами или безвыводные
| tокр.ср. | -60...+100°С |
Cном | 10. ..1500 пФ | |
Отн. влажность | До 98 % | |
Uном | До 250 В | |
Масса | До 1,5 г | |
ТКЕ | МПО, М47, М330, Н30 | |
К 22-4 Незащищенные
| tокр.ср. | -60...+85°С |
Cном | 33 пФ.0,12 мкФ | |
Отн. влажность | До 80 % | |
Uном | До 25 В | |
Масса | До 2,5 г | |
ТКЕ | М75, М470, Н10 | |
К 22-5 Изолированные и неизолированные
| tокр.ср. | -60...+85°С |
Cном | 75 пФ.0,12 мкФ | |
Отн. влажность | До 98 % | |
Uном | До 25 В | |
Масса | До 4 г | |
ТКЕ | М75, М47, Н10 |
Слюда - природный материал, способный расщепляться на тонкие пластинки толщиной до 0,001 мм. Конструкция таких конденсаторов - многослойная. Слюдяные конденсаторы обладают следующими достоинствами:
- простота технологии изготовления (не требуется обжиг);
- высокая удельная емкость по сравнению с керамическими конденсаторами из-за большой величины диэлектрической проницаемости;
- высокая электрическая прочность;
- устойчивость к коронным разрядам;
- высокая стабильность параметров при эксплуатации и хранении;
- малые потери.
Недостатками являются:
- зависимость емкости от силы тока;
- большие габариты и масса;
- сложно прогнозируемое поведение слюды в электрическом поле;
- относительно высокая стоимость.
Обкладки могут быть фольговые или изготавливаться напылением металла.
Из-за больших массогабаритных параметровнашли ограниченное применение. Параметры некоторых представителей слюдяных конденсаторов приведены в таблице 2.10. Конденсаторы СГМ, КСО, КСГ, К31-10 и К31-11 предназначены для работы в цепях постоянного, переменного и пульсирующего токов.
Тип | Параметр | Значение |
СГМ-1...4 Герметизированные малогабаритные
| tокр.ср. | -60...+85°С |
Cном | 51.10 000 пФ | |
Допуск | (±0,3... ±20) % | |
Отн. влажность | До 98 % | |
Uном | До 1600 В | |
Масса | До 11 г | |
ТКЕ, х10-6 1/°С | ±50; ±200 | |
К 31-10
| tокр.ср. | -60...+125°С |
Cном | 50. ..10 000 пФ | |
Допуск | (±0,25...±10) % | |
Отн. влажность | До 98 % | |
Uном | До 100 В | |
Масса | До 2 г | |
ТКЕ, х10-6 1/°С | 33±30 | |
К 31-11 Округленные
| tокр.ср. | -60...+85°С |
С | 51...10 000 пФ | |
Допуск | (±2...±20) % | |
Отн. влажность | До 80 % | |
Uном | До 500 В | |
Масса | До 6 г | |
ТКЕ, х10-6 1/°С | ±50; ±100; ±200 |
Основа конструкции таких конденсаторов - конденсаторная секция в виде смотанных в спираль двух металлических лент - обкладок с проложенными между ними одной или несколькими лентами бумаги, пропитанными трансформаторным маслом, воском, эпоксидной смолой, вазелином, церезином. Секции могут быть цилиндрические и плоскопрессованные. Цилиндрическая конструкция изготавливается для односекционных конденсаторов небольшой емкости с низким рабочим напряжением, а плосокопрессованная применяется в корпусах в виде параллелепипеда, при этом конденсаторные секции лучше заполняют корпус.
Взаимное расположение обкладок и бумаги в секции может быть различным (рис. 2.3). Наиболее распространенной является обычная конструкция, рис.2.3 (а) - со скрытой фольгой. Конструкция (б) - безындукционная, служит для уменьшения собственной индукции и обеспечивает более надежную работу при малых напряжениях (до 1 В), т.к. выводы припаиваются к выступающим у торцов секций краям обкладок. Конструкция на рис. 2.3(в)- проходная.

Рис. 2.3. Варианты взаимного расположения обкладок и диэлектрика
Для существенного снижения индуктивности конденсатора используется технология нанесения расплавленного цинка на боковые кромки фольги для соединения всех точек обкладки; в результате чего образуются эквипотенциальные поверхности при изготовлении спиральной конструкции конденсатора.
Секции при любой конструкции должны иметь закраину - полоску диэлектрика, не покрытую фольгой. Ее размер зависит от величины рабочего напряжения.
В бумажных конденсаторах между слоями фольги располагаются несколько слоев конденсаторной бумаги, чтобы исключить ее сквозной пробой через различные дефекты: неоднородности материала, поры, токопроводящие включения, а также влагу, попадающие в зазоры между обкладкой и диэлектриком. Бумажные конденсаторы используются в шунтирующих и помехоподавляющих схемах, в качестве шунтирующих элементов, - там, где требуется длительная работа под нагрузкой, небольшая точность и стабильность емкости. По конструкции бывают цилиндрические: БМ, БМТ, ОКБГ, К40-11 и другие модели, а также прямоугольные: КБГ, К40У-5 и др. Использование фольговых обкладок увеличивает нагрузочную способность конденсаторов по току, но и уменьшает их удельную емкость.
Параметры некоторых представителей бумажных конденсаторов приведены в таблице 2.11.
Тип | Параметр | Значение |
КБГ Герметизированные
| tокр.ср. | -60...+70°С |
Cном | (0,1...2)мкФ | |
Допуск | (±5... ±20) % | |
Отн. влажность | До 98 % | |
Uном | До 1500 В | |
Масса | До 150 г | |
БМ (БМТ) малогабаритные (и термостойкие)
| tокр.ср. | -60...+100°С |
Cном | 1000 пФ.0,25 мкФ | |
Допуск | (±5... ±20) % | |
Отн. влажность | До 98 % | |
Uном | До 630 В | |
Масса | До 20 г | |
К40-11 Герметизированные
| tокр.ср. | -15...+50°С |
Cном | 0,22.2 мкФ | |
Допуск | (±10; ±20) % | |
Отн. влажность | До 98 % | |
Uном | До 200 В | |
Масса | До 75 г |
Бумажные конденсаторы могут иметь многосекционное исполнение - до трех отдельных секций с различными вариантами соединений (КБГ-МП). Количество выводов тогда возрастает до трех, не считая вывода корпуса.
В металлобумажных конденсаторах на конденсаторную бумагу методом вакуумного испарения наносится слой металла (Al, Zn) толщиной 0,03...0,05 мкм, за счет этого увеличивается удельная емкость и исключены зазоры. В таких электроэлементах используется только один слой бумаги, т.к. при ее пробое (из-за малой толщины обкладок) происходит самовосстановление емкости конденсатора.
Быстродействующий процесс (10-6...10-5с) заключается в прогорании металла в точке пробоя диэлектрика и, таким образом, в самоликвидации короткого замыкания. Конструкции
металлобумажных конденсаторов также можно разделить на
цилиндрические: МБМ, МБГЦ, К42-2, К42-4, К42-11 и др. и прямоугольные: МБГТ, МБГП, МБГО и др. Параметры некоторых металлобумажных конденсаторов приведены в таблице 2.12.
Диэлектриком в пленочных и металлопленочных конденсаторах служат синтетические пленки. Такие диэлектрики можно разделить на четыре группы: неполярные, полярные, комбинированные и лакопленочные. Так как свойства материалов диэлектриков можно изменять в широких пределах, то пленочные конденсаторы характеризуются:
- большим сопротивлением изоляции;
- большой величиной постоянной времени;
- высокой термостойкостью;
- малыми потерями (на порядок меньшими, чем у бумажных конденсаторов).
Рассмотрим основные подвиды пленочных конденсаторов.
Тип | Параметр | Значение |
МБГТ, К42-4 Герметизированные, термостойкие
| tокр.ср. | -60...+100°С |
Cном | (0,1...30) мкФ | |
Допуск | (±5... ±20) % | |
Отн. влажность | До 80 % | |
Uном | До 1000 В | |
Масса | До 1,35кг | |
К42-11
| tокр.ср. | -60...+70°С |
Cном | (3,3.10) мкФ | |
Допуск | (±10; ±20) % | |
Отн. влажность | До 98 % | |
Uном | 125 В | |
Масса | До 70 г | |
МБМ Малогабаритный
| tокр.ср. | -60...+70°С |
Cном | (0,0051.1) мкФ | |
Допуск | (±10; ±20) % | |
Отн. влажность | До 98 % | |
Uном | До 1500 В | |
Масса | До 25 г | |
К42-19
| tокр.ср. | -25...+55°С |
Cном | (1.20) мкФ | |
Допуск | (±10; ±20) % | |
Отн. влажность | До 98 % | |
Uном | До 500 В | |
Масса | До 740 г |
а) Полистирольные. Такие конденсаторы могут работать на постоянном токе, на токах высокой частоты и в импульсных режимах. Достоинствами полистирольных конденсаторов являются:
- наибольшие значения номинальной емкости среди пленочных;
- хорошие частотные характеристики;
- малая величина потерь (тангенс угла потерь не больше 0,0005);
- большое сопротивление изоляции (до 0,1 ТОм);
- низкий коэффициент абсорбции электрических зарядов (0,01...0,1%);
- высокая стабильность параметров;
- высокая точность изготовления;
- невысокая стоимость.
Основными представителями полистирольных конденсаторов являются типы К70 - с фольговыми обкладками и К71 - с металлизированными. С особенными свойствами можно выделить конструкции: ОППТ - особый полистирольный проходной термостойкий (для подавления радиопомех), ПО и МПО - открытые, ПМ - малогабаритный, ПОВ - высоковольтный, МПГО - герметизированный с однослойной изоляцией. Параметры основных представителей пленочных полистирольных конденсаторов сведены в таблицу 2.13.
Тип | Параметр | Значение |
К71-5, К71-6
| tокр.ср. | -60...+85°С |
Cном | 0,012 мкФ.10 мФ | |
Допуск | (±0,5... ±20) % | |
Отн. влажность | До 98 % | |
Uном | До 300 В | |
Масса | До 30 г | |
К70-3, К70-6, ПО, ПМ фольговые
| tокр.ср. | -40...+85°С |
Cном | 22 мкФ... 100мФ | |
Допуск | (±5... ±20) % | |
Отн. влажность | До 80 % | |
Uном | До 1600 В | |
Масса | До 10 г | |
ОППТ фольговый
| tокр.ср. | -60...+125°С |
Cном | (0,1…0,25) мкФ | |
Допуск | От -10% до 100% | |
Отн. влажность | До 98 % | |
Uном | 50 В | |
Масса | До 200 г | |
К70-4, К70-7, МПО, МПГО металлопленочный | tокр.ср. | -60...+60°С |
| Cном | 15нФ...10 мкФ |
Допуск | (±0,25... ±20) % | |
Отн. влажность | До 85 % | |
Uном | До 1600 В | |
Масса | До 1,6 кг |
Используются в точных временных цепях, интегрирующих устройствах, в контурах с высокой добротностью, в магазинах.
б) Фторопластовые. Предназначены для работы в цепях постоянного и переменного, пульсирующего тока и в импульCном режиме. В основном область применения фторопластовых конденсаторов - ВЧ устройства и дозиметры. По свойствам близки к полистирольным конденсаторам, но обладают дополнительными достоинствами:
- повышенная рабочая температура (до 200 °С);
- емкость не зависит от частоты вплоть до десятков МГц;
- малый ток утечки;
- хорошие электрические характеристики в широком интервале температур и частот.
Параметры основных представителей пленочных фторопластовых конденсаторов сведены в таблицу 2.14. Дозиметрические конденсаторы с фторопластовым диэлектриком работают в цепях постоянного тока.
Тип | Параметр | Значение |
К72-6,К72-9 Герметизированные
| tокр.ср. | -60...+200°С |
Cном | (0,00047.2,2) мкФ | |
Допуск | (±5... ±20) % | |
Отн. влажность | До 98 % | |
Uном | До 1600 В | |
Масса | До 650 г | |
К72-11Д1А Герметизированные
| tокр.ср. | -60...+100°С |
Cном | (0,1...4,7) мкФ | |
Допуск | (±5... ±20) % | |
Отн. влажность | До 98 % | |
Uном | До 1000 В | |
Масса | До 1720 г | |
ФТ, ФЧ Термостойкие, частотные, герметизированные
| tокр.ср. | -60...+150°С |
Cном | (0,1.. .4,7) мкФ | |
Допуск | (±5... ±20) % | |
Отн. влажность | До 98 % | |
Uном | До 600 В | |
| Масса | До 40 г |
К72-1, К72-4 Дозиметрические
| tокр.ср. | -50...+50°С |
Cном | (0,00005.0,005) мкФ | |
Допуск | (±5... ±10) % | |
Отн. влажность | К72-1 до 80 %, | |
| К72-4 до 50% | |
Uном | До 500 В | |
Масса | До 7 г | |
К72-8 Дозиметрические
| tокр.ср. | -60...+60°С |
Cном | (0,0005.0,003) мкФ | |
Допуск | (±5... ±10) % | |
Отн. влажность | До 80 % | |
Uном | До 300 В | |
Масса | До 7,5 г |
в) Полипропиленовые. Удельные характеристики лучше в несколько раз по сравнению с полистирольными. Предназначены для работы в цепях постоянного и переменного, пульсирующего тока и в импульCном режиме. Параметры основных представителей пленочных полипропиленовых конденсаторов сведены в таблице 2.15. Модели К78-4 используются в схемах с асинхронными двигателями, работающих с частотой 50 Гц. Характеризуются большим сроком сохраняемости параметров (у К78-5 - 10 лет). Пропиленовые конденсаторы используются в телевизионной технике.
Тип | Параметр | Значение |
К78-2 Прямоугольные в изоляционной оболочке
| tокр.ср. | -60...+85°С |
Cном | (0,01...0,15) мкФ | |
Допуск | (±5... ±20) % | |
Отн. влажность | До 98 % | |
Uном | До 1000 В | |
Масса | До 35 г | |
К78-3 Цилиндрические, уплотненные
| tокр.ср. | -60...+85°С |
Cном | (0,27…0,56) мкФ | |
Допуск | (±5... ±20) % | |
Отн. влажность | До 98 % | |
Uном | До 630 В | |
Масса | До 250 г | |
К78-4 | tокр.ср. | -60...+70°С |
Цилиндрические, уплотненные, низковольтные, низкочастотные
| Cном | (0,47.68) мкФ |
Допуск | (±10... ±20) % | |
Отн. влажность | До 98 % | |
Uном | До 500 В | |
Масса | До 350 г | |
К78-5 Цилиндрические, с ленточными выводами, незащищенные, высоковольтные
| tокр.ср. | -60...+85°С |
Cном | (0,00047...0,047) мкФ | |
Допуск | (±5... ±20) % | |
Отн. влажность | До 98 % | |
Uном | До 2 000 В | |
Масса | До 25 г | |
|
| |
|
|
Эти три вида пленок относятся к неполярным диэлектрикам. Их основные достоинства: малые потери, высокое сопротивление изоляции, низкая абсорбция, большие значения постоянной времени, которая слабо зависит от температуры. Области применения таких конденсаторов схожи, но фторопластовые могут использоваться при повышенных температурах и с более жесткими требованиями к электрическим параметрам.
г) Полиэтилентерефталатные. Распространенный вид конденсаторов с номенклатурой более 26 модификаций. Диэлектрическая проницаемость материала 3,3, обкладки изготавливаются с помощью металлизации, - это позволяет достичь меньших габаритов по сравнению с
металлобумажными. Предназначены для работы в цепях постоянного, переменного и пульсирующего тока. Имеют очень большие значения сопротивления изоляции (например, сопротивление вывод-вывод для К74-7 составляет не менее 1 000 000 МОм), низкую абсорбцию, расширенный диапазон рабочих температур, а также большой срок сохраняемости параметров 12 лет. Потери у полиэтилентерефталатных конденсаторов того же порядка, что и у бумажных, поэтому используются в тех же областях. Модели К73 выпускаются с металлизированными обкладками, а К74 - с фольговыми.
Некоторые параметры представителей полиэтилен-терефталатных конденсаторов - в таблице 2.16.
д) Лакопленочные. Изготавливаются на основе тонких эфирцеллюлозных полярных пленок с металлизацией. Сначала лак наносится на подложку, затем производится металлизация пленки.
Тип | Параметр | Значение |
К73-15, К73-16, К73-22, К73П-2 Цилиндрические
| tокр.ср. | -60...+125°С |
Cном | (0,00047...22) мкФ | |
Допуск | (±0,5... ±20) % | |
Отн. влажность | До 98 % | |
Uном | До 1600 В | |
Масса | До 65 г | |
К73-5, К73-9, К73-17, К73-24
| tокр.ср. | -60...+100°С |
Cном | (0,001.4,7) мкФ | |
Допуск | (±0,5... ±20) % | |
Отн. влажность | До 98 % | |
Uном | До 630 В | |
Масса | До 14 г | |
К73П-2, К73П-4, ПМГП Герметизированные
| tокр.ср. | -60...+125°С |
Cном | (0,25.. .15) мкФ | |
Допуск | (±0,5... ±20) % | |
Отн. влажность | До 98 % | |
Uном | До 1 000 В | |
Масса | До 1 000 г | |
К74-7, К74-12...14 Цилиндрические, незащищенные с проволочными выводами
| tокр.ср. | -60...+70°С |
Cном | (0,00015.0,1) мкФ | |
Допуск | (±5... ±20) % | |
Отн. влажность | До 80 % | |
Uном | До 30 000 В | |
Масса | До 75 г | |
К74-6 Цилиндрические, незащищенные с пластинчатыми выводами
| tокр.ср. | -60...+70°С |
Cном | 0,0051 мкФ | |
Допуск | ±5 % | |
Отн. влажность | До 80 % | |
Uном | 5 000 В | |
Масса | До 90 г |
Ленты разрезаются, освобождаются от подложки и наматываются. Имеют наибольшую удельную емкость среди конденсаторов с органическим диэлектриком, достигающую значений 4,5 мкФ/см3.
Емкость приближается к значениям, присущим оксидноэлектролитическим конденсаторам, поэтому лакопленочные могут заменить их, работая при переменном токе.
Конденсаторы допускают эксплуатацию на переменном токе с частотой до 20 кГц. Большой срок сохраняемости параметров - около 15 лет. Правда, такие конденсаторы рассчитаны на невысокое напряжение - до 250 В. С дефектами при металлизации тонких пленок лака борются, используя двухслойную лакировку ацетилцеллюлозным и этилцеллюлозным лаками.
Лакопленочные конденсаторы предназначены для работы в цепях постоянного, переменного и пульсирующего тока. Параметры представителей лакопленочных конденсаторов приведены в таблице 2.17.
Тип | Параметр | Значение |
К76П-1А, К76-4, К76-5 Герметизированные
| tокр.ср. | -60...+70°С |
Cном | (0,47.22) мкФ | |
Допуск | (±5... ±20) % | |
Отн. влажность | До 98 % | |
Uном | До 63 В | |
Масса | До 50 г | |
К76П-1Б, К76-3 Уплотненные
| tокр.ср. | -60...+85°С |
Cном | (0,1.22) мкФ | |
Допуск | (±5... ±20) % | |
Отн. влажность | До 98 % | |
Uном | До 250 В | |
Масса | До 53 г |
е) Поликарбонатные. Выпускаются с металлизированными обкладками. Характеризуются еще меньшими потерями и небольшими значениями допустимых отклонений емкости. Используются на высоких частотах. По размерам и характеристикам близки к полиэтилентерефталатным конденсаторам. Рассчитаны на напряжение до 400 В, а их емкость находится в диапазоне 1000пФ...100 мкФ. Параметры представителей поликарбонатных пленочных конденсаторов приведены в таблице 2.18.
ж) С комбинированным диэлектриком. В этих конденсаторах используются ленты из нескольких материалов диэлектрика, обычно из двух: полярная пленка и бумага; неполярная пленка и бумага; полярная и неполярная пленка. Таким образом, комбинированные диэлектрики сочетают достоинства нескольких материалов (табл. 2.19).
Тип | Параметр | Значение |
К77-1, К77-2А, К77-4А Цилиндрические
| tокр.ср. | -60...+125°С |
Cном | (0,001...22) мкФ | |
Допуск | (±0,5... ±20) % | |
| Отн. влажность | До 98 % |
Uном | До 400 В | |
Масса | До 105 г |
Это самая многочисленная группа конденсаторов, включающая более 50 модификаций. Конденсаторы предназначены для работы в цепях постоянного, переменного и пульсирующего тока (К75-10 до 10 кГц).
Модели К75-17 и К75-40 - импульсные высоковольтные конденсаторы для лазерной техники, электроинструмента, сварочного оборудования, электротранспорта, обладают малым внутренним сопротивлением, малым временем разряда (доли секунды), а заряд возможен от маломощных источников.
Конденсаторы К75-31 предназначены для работы в тиристорных преобразователях.
Модели К75-17 и К75-18 имеют наибольшие значения номинальной емкости, но могут работать в цепях с напряжением до 1000 В и имеют небольшой диапазон рабочих температур с верхней границей 30...50 °С.
Конденсаторы общего назначения К75-12 и К75-57 используются в качестве накопителей энергии для лазеров со значением номинальной емкости до 10 мкФ.
Представители К75П-4 и К75-41 с диэлектриком в виде конденсаторной бумаги и полиэтилентерефталатной пленки, а также конденсаторы К75-37, К75-42 и К75-43 предназначены для устранения помех радиоприему от источников: бытовых приборов, электрического оборудования, электрических силовых щитов станций и подстанций и т.п. в диапазоне частот 0,15...1000 МГц. Их номинальное напряжение не превышает 1000 В.
Диэлектрик
Достоинства в сочетании с: | Бумага | Полярная пленка |
Бумагой |
| Те же, что и у бумаги с полярным диэлектриком. |
Полярной пленкой | - увеличение сопротивления изоляции в 10 раз; - рост диэлектрической проницаемости; - лучше смачиваемость пропитками. |
|
Неполярной пленкой | - лучше смачиваемость пропитками; - лучше термостабильность; - выше нагревостойкость. | - взаимная компенсация ТК диэлектриков; - большая емкость. |
Высоковольтные образцы конденсаторов с комбинированным диэлектриком К75-14, К75-19,К75-20, К75-27, К75-28, К75-34, К75- 40, К75-46 с металлизированными обкладками рассчитаны на напряжение до 5 кВ, имеют большие номиналы - до 200 мкФ, но небольшие максимальные температуры эксплуатации до 60 °С. Конденсаторы с фольговыми обкладками рассчитаны на напряжение до 250 кВ, но имеют меньшие значения номинальных емкостей. Наивысшее значение верхней границы диапазона рабочих температур имеет фольговый конденсатор К75-29 - до 185°С. Модели представляют собой герметичную конструкцию.
Параметры выборочных представителей конденсаторов с комбинированным диэлектриком приведены в таблице 2.20.
В эту группу включены линии формирования высоковольтных импульсов Б4-1, представляющие собой три последовательно подключенных LC-цепи. Номинальная длительность импульса 0,63…10 мкс, волновое сопротивление 2,5...6,3 Ом, номинальное напряжение 1,6 кВ, масса до 3 кг в зависимости от параметров модели.
Электролитические конденсаторы представляют собой особый вид электроэлементов, в которых в качестве диэлектрика используется тонкий слой оксида вентильного металла (Та205, Al2O3 и Nb205), образованного электролитическим путем при подаче напряжения на конденсатор. Толщина слоя окисла зависит от величины напряжения (при небольшом напряжении толщина этого слоя составляет доли микрона). Сочетание малой толщины оксида (около 1,5 нм на 1В приложенного напряжения), большой площади обкладок с относительно большой диэлектрической проницаемостью ε = 10...100 позволяет производить конденсаторы с номинальной емкостью, достигающей сотен тысяч мкФ. При этом удельные характеристики у этой группы - самые большие. Для того, чтобы образовывался окисел, на вентильный металл наносится электролит в жидком, пастообразном или твердом виде. Катодная фольга служит для обеспечения хорошего контакта со слоем электролита.
Спиральная конструкция с фольговым анодом (рис. 2.4) используется в алюминиевых и танталовых конденсаторах, а с анодом в виде таблетки, полученной спеканием металлического порошка, - в танталовых. Реже можно встретить конструкцию, в которой анод выполнен в виде проволоки.

Рис.2.4. Строение электролитических конденсаторов
Отмеченные достоинства "компенсируются" несколькими существенными недостатками.
1. При анодном включении сложно получить высокую электрическую прочность (максимальное напряжение, которое способен выдержать "стандартный" конденсатор, не превышает 500 В),а при измененииполярности включения оксидный слой растворяется, и конденсатор начинает пропускать электрический ток (электрическая прочность электролитических конденсаторов определяется толщиной слоя окисла, рост которого в определенный момент времени прекращается из-за невозможности протекания электролитической реакции).Поэтому электролитические конденсаторы - униполярные приборы. При проектировании печатных плат и монтаже необходимо соблюдать полярность. Если включить встречно последовательно два полярных конденсатора, то получим неполярный.
2. Наличие электролита приводит к увеличению сопротивления одной из обкладок. А так как:
tgδ = ωСоксrэл ,
то увеличение сопротивления электролита приводит к росту потерь. Они также линейно растут с увеличением частоты сигнала, поэтому электролитические конденсаторы применяют только в цепях постоянного или пульсирующего тока.
3. При понижении температуры rэл увеличивается, что ведет к увеличению потерь. Поэтому диапазон рабочих температур небольшой, особенно в отрицательной области.
4. Пастообразный электролит, а жидкий - в еще большей степени, со временем изменяет свои свойства (высыхает) из-за несовершенства уплотнителей, что ведет к уменьшению емкости. "Подсохшие" конденсаторы больше чувствительны к повышению температуры эксплуатации. Все это накладывает ограничения на срок сохраняемости параметров конденсаторов при эксплуатации и хранении. Вдобавок к этому электролитические конденсаторы иногда могут вспучиваться и даже взрываться при превышении допустимого напряжения и тока, а также при подаче напряжения неправильной полярности.
5. В связи с тем, что параметры конденсаторов изменяются в ходе эксплуатации, то их допустимые отклонения велики. Даже модели с отклонением ±10%от номинала не рекомендуется применять в частях схемы, критичных к значительному изменению емкости.
6. При длительном отключении оборудования происходят структурные изменения в окисле: в нем появляются токопроводящие участки. Поэтому при включении протекает процесс повторной формовки окисла, сопровождающийся большими токами утечки. Причем чем дольше период простоя, тем дольше по времени и больше по значению токи утечки, а это может вызвать сильный разогрев электролита, сопровождающийся его испарением. Поэтому в схемах, содержащих электролитические конденсаторы предусматриваются автотрансформаторы, постепенно увеличивающие напряжение питания оборудования. А для предотвращения разрыва корпуса электролитических конденсаторов используются резиновые уплотнители (в конденсаторах большой емкости) и выемки в корпусе (в конденсаторах с малой емкостью), обеспечивающие управляемый разрыв материала и выход пара. Эти приемы позволяют уменьшить ущерб при разрыве конденсаторов и визуально судить о выходе их из строя.
Параметры представителей алюминиевых оксидных конденсаторов приведены в таблице 2.21, а танталовых - в таблице 2.22. Алюминиевые оксидно-электролитические конденсаторы - самые массовые в производстве (более 40 модификаций), их номиналы доходят до сотен тысяч мкФ, а напряжения - до 500 В. Области использования алюминиевых конденсаторов - источники вторичного электропитания, в качестве накопительных и фильтрующих элементов в развязочных цепях и переходных цепях полупроводниковых устройств в диапазоне частот до 100 кГц.
Подавляющее число модификаций конденсаторов с алюминиевым анодом выпускается с диапазоном номиналов от 22 до 22 000 мкФ, но есть модели (К50-32 и К50-37), емкость которых достигает 470 000 мкФ, правда при небольшом значении номинального напряжения и соответствующей массе электроэлемента.
Имеются представители: 118АНТ и 119АНТ производства VISHAY с увеличенным сроком службы - до 8 000 ч при 125°С и до 1000 000 ч - при 40 °С, к тому же выдерживающие большие токи пульсаций.
Алюминиевые электролитические конденсаторы самые дешевые в изготовлении, их конструкция постоянно совершенствуется, но у танталовых конденсаторов:
- более высокие значения диэлектрической проницаемости оксида (около 27, что примерно в 3 раза больше, чем у алюминиевых), что уменьшает габариты электроэлемента;
- значение удельной емкости в 18 раз больше, чем у алюминиевых аналогов;
- больше надежность;
- лучшие электроизоляционные свойства окисной пленки;
- большая стойкость к агрессивным средам;
- меньше токи утечки,
а недостатком является дороговизна, поэтому танталовые конденсаторы применяются только при небольших Uном, а за счет низкой собственной индуктивности по сравнению с алюминиевыми, они используются в стабилизаторах напряжения полосовых фильтров и логических схем. Ниобиевые электролитические конденсаторы по своим характеристикам близки к танталовым, но стоимость их меньше.
Тип | Параметр | Значение |
К50-3, К50-20, К50- 29, К50-31
| tокр.ср. | -40...+70°С |
Cном | 1...1000мкФ | |
Допуск | (-20...+50)... (-10...+100)% | |
Отн. влажность | До 98 % | |
| Uном | До 300 В |
Масса | До 5 г | |
К50-31
| tокр.ср. | -40...+70°С |
Cном | 2,2.4700 мкФ | |
Допуск | (-20...+50)% | |
Отн. влажность | До 98 % | |
Uном | До 450 В | |
Масса | До 25 г | |
К50-22 С лепестковыми выводами
| tокр.ср. | -60...+85°С |
Cном | 100.22 000 мкФ | |
Допуск | (-20...+50)% | |
Отн. влажность | До 98 % | |
Uном | До 160 В | |
Масса | До 85 г | |
К50-6, К50-16 Со штыревыми и лепестковыми выводами
| tокр.ср. | -10...+85°С |
Cном | 47.22000 мкФ | |
Допуск | (-20...+80)% | |
Отн. влажность | До 98 % | |
Uном | До 160 В | |
Масса | До 150 г | |
К50-15 Неполярные
| tокр.ср. | -60...+125°С |
С | 4,7...100 мкФ | |
Допуск | (-20…+80)% | |
Отн. влажность | До 98 % | |
Uном | До 100 В | |
Масса | До 15 г | |
К50-18, К50-32 С резьбовыми выводами
| tокр.ср. | -60...+85°С |
С | 330.470 000 мкФ | |
Допуск | (-20...+50)% | |
Отн. влажность | До 98 % | |
Uном | До 450 В | |
Масса | До 1,3 кг | |
119 АНТ (MAL2119) 118 АНТ (MAL2118) высокотемпературные с повышенным сроком службы
| tокр.ср. | -55...+150°С |
С | 4,7...4700 мкФ | |
Допуск | (-10… +50)% | |
Отн. влажность | До 98 % | |
Uном | До 200 В |
Тип | Параметр | Значение |
ЭТ Фольговые, уплотненные | tокр.ср. | -60...+100°С |
Cном | 5...500 мкФ | |
Допуск | ±20; ±30;(-20...+50)% | |
Отн. влажность | До 98 % | |
Uном | До 150 В | |
Масса | До 30 г | |
К52-8 Фольговые, неполярные
| tокр.ср. | -60...+125°С |
Cном | 3,3…330 мкФ | |
Допуск | ±10; ±20; ±30% | |
Отн. влажность | До 98 % | |
Uном | До 100 В | |
Масса | До 28 г |
а) Объемно-пористый анод
Перечисленные недостатки сдерживают распространение оксидных электролитических конденсаторов повсеместно при различных условиях эксплуатации. Но работа по совершенствованию конструкций электролитических конденсаторов ведется постоянно.
Для улучшения параметров электролитических фольговых конденсаторов была разработана конструкция объемно-пористого анода из порошка химически стойкого металла: чаще всего -тантала, реже - ниобия или алюминия. Иногда используются смеси металлов.
Изготовление объемно-пористого анода состоит из следующих основных операций. Сначала порошок металла прессуют, применяя связующее вещество (камфару, раствор парафина в бензине и др.). Затем заготовку в виде таблетки спекают при температуре, достаточной, чтобы металл подплавился и произошло соединение в местах соприкосновения зерен порошка между собой. В результате образуется пористая объемная структура с большой площадью поверхности (в десятки раз больше по сравнению с не пористой). После этого таблетку оксидируют электрохимическим способом; в результате процесса образуется окисел на зернах. Затем наносится электролит в твердой форме или таблетку помещают в жидкость, закрепляя в нескольких местах танталовой проволокой. Конструкцию помещают в серебряный стакан, который в свою очередь корпусируют в стальной баллончик для повышения устойчивости конденсатора к механическим воздействиям.
Для увеличения площади поверхности катода - внутренней поверхности серебряного корпуса, что необходимо при небольших номинальных напряжениях и больших размерах конденсатора, ее покрывают платиновой чернью, слоем палладия или используют механическую обработку.
После сборки конденсаторов производится их формовка второй раз. При постоянном напряжении, плавно растущем до номинального значения, и небольшом токе 1...10 мА, конденсаторы выдерживают 2...5 часов при температуре 20°С и, затем, 6.8 часов - при температуре 100 °С.
Достоинствами электролитических конденсаторов с объемнопористым анодом является очень большой срок сохраняемости их параметров - более 25 лет, поэтому, они используются в высокотехнологичном оборудовании и аппаратуре специального назначения.
Еще больше увеличить удельную емкость танталовых конденсаторов с объемно-пористым анодом можно, используя особо чистые порошки с уменьшенными размерами зерен (приблизительно в два раза). Здесь надо отметить, что уменьшение размеров зерен для увеличения удельного заряда конденсатора приводит к тому, что размеры пор, заполненные электролитом, уменьшаются, возрастает эквивалентное последовательное сопротивление и ухудшаются частотные характеристики, что делает использование таких электрорадиоэлементов в ВЧ блоках недопустимым. По этой причине современные малогабаритные оксидно-электролитические SMD- конденсаторы проигрывают моделям двадцатилетней давности с достаточно большими размерами пор, но имеющие лучшую частотную стабильность емкости при f > 10 кГц и меньшее последовательное сопротивление. Частично эта проблема решается производителями с помощью мультианодной конструкции (параллельное соединение, например, трех анодов с соответственно уменьшенной емкостью), хотя эффективность такого решения невелика, а емкость конденсатора может снижаться в несколько раз при частотах в сотни килогерц.
Использование тантала вместо алюминия для изготовления объемно-пористого анода позволило в жидкостных конденсаторах использовать более агрессивный электролит, а именно 38% раствор H2SO4, что привело к :
- уменьшению удельного сопротивления электролита;
- повышению удельной емкости;
- уменьшению токов утечки по сравнению с алюминиевыми конденсаторами;
- тому, что потери перестали зависеть от температуры;
- увеличению рабочей температуры до 200 °С.
Недостатком всех жидкостных конденсаторов с объемнопористым анодом являются: относительно высокая стоимость, а также небольшой верхний предел рабочего напряжения: 100...125 В (при высоких напряжениях, прикладываемых к конденсатору, происходит искрение). Последний недостаток можно исключить, если поместить последовательно одну на другую несколько секций конденсаторов и разместить такую конструкцию в общем цилиндрическом корпусе.
Параметры представителей танталовых оксидных конденсаторов с объемно-пористым анодом приведены в таблице 2.23.
Производство алюминиевых оксидно-электролитических конденсаторов с объемно-пористым анодом в мире постоянно снижается из-за вытеснения их другими моделями. Понятно, что для алюминиевых конденсаторов применяются менее агрессивные некислотные электролиты, например, растворы этиленгликоля, диметилформамида и др.
Тип | Параметр | Значение |
ЭТО-1, ЭТО-2, К52-2, К52-5
| tокр.ср. | -60...+ 155°С |
Cном | 6,8... 1 000 мкФ | |
Допуск | ±10; ±20; ±30; (-20...+50)% | |
Отн. влажность | До 98 % | |
Uном | До 90 В | |
Масса | До 25 г | |
К52-1, К52-10
| tокр.ср. | -60...+85°С |
Cном | 1,5...680 мкФ | |
Допуск | ±10; ±20% | |
Отн. влажность | До 98 % | |
Uном | До 100 В | |
Масса | До 7,5 г | |
К52-7А Уплотненные с проволочным объемным выводом
| tокр.ср. | -60...+ 125°С |
Cном | 680...2 200 мкФ | |
Допуск | ±10; ±20; ±30% | |
Отн. влажность | До 98 % | |
Uном | До 63 В | |
Масса | До 55 г |
К сожалению, НИОКР по поиску и реализации современных конструктивных и технологических решений высокочастотных танталовых конденсаторов в последние годы всерьез не проводились в связи с отсутствием финансирования.
б) Оксидно-полупроводниковые конденсаторы
Оксидно-полупроводниковые конденсаторы - это электролитические конденсаторы, в которых "традиционный" электролит заменен на твердый электронный полупроводниковый материал (чаще всего MnO2). Диоксид марганца получают
пиролитическим разложением раствора нитрата марганца при температуре 300...400°С. Для получения полупроводникового слоя толщиной 1 мм требуется повторение операции пиролиза до 10 раз.
Для изготовления оксидно-полупроводниковых конденсаторов с небольшой емкостью (до 1 мкФ) на анод из тантала, покрытый оксидной пленкой (впоследствии скручиваемый в спираль), наносится слой полупроводника, который выполняет роль второй обкладки. На полупроводник наносится порошок графита для улучшения контакта. Конденсатор корпусируется в стальной или серебряный стаканчик.
Конструкция оксидно-полупроводниковых конденсаторов с большей емкостью отличается тем, что анод выполняется в виде таблетки из прессованного танталового порошка, что позволяет изготавливать конденсаторы как цилиндрической, так и прямоугольной формы.
Замена электролита твердым полупроводником приводит к тому, что:
- уменьшается сопротивление "электролитического" слоя, которое не зависит от температуры и частоты;
- улучшаются частотные характеристики (рабочая частота увеличивается до десятков кГ ц);
- уменьшаются потери и растут значения рабочих напряжений;
- в области низких температур потери слабо зависят от температуры;
- улучшается термостабильность и термостойкость;
- униполярный эффект проявляется слабее;
- "электролиту" не свойственно высыхание.
Материалом анода могут служить: алюминий, тантал, или ниобий. Не смотря на дороговизну технологии с использованием тантала, такие конденсаторы обладают приблизительно такими же токами утечки как алюминиевые, аналогичные по параметрам модели, а также:
- улучшенной термостабильностью в диапазоне температур (55...+125) °С;
- более высоким значением относительной диэлектрической проницаемости пленки окисла;
- меньшим активным сопротивлением на высоких частотах (100 кГц), что хорошо при использовании конденсаторов в импульсных источниках питания.
Недостатками оксидно-полупроводниковых конденсаторов с танталовым анодом являются:
55
- относительно большое уменьшение емкости с ростом частоты;
- большая чувствительность к переполюсовке и перегрузкам по напряжению, что заставляет предусматривать двойной запас по ином;
- возможность короткого замыкания при очень больших токах заряда, образующихся при включении питания, что может сопровождаться выделением дыма и ярко-белой вспышкой.
Параметры некоторых представителей танталовых, алюминиевых и ниобиевых оксидно-полупроводниковых конденсаторов приведены в таблице 2.24.
Тип | Параметр | Значение |
К53-1, К53-18 Танталовые, Полярные
| tокр.ср. | -60...+125°С |
Cном | 0,15 _ 1 000 мкФ | |
Допуск | ±10%; ±20%; ±30% | |
Отн. влажность | До 98 % | |
Uном | До 100 В | |
| Масса | До 11 г |
К53-7 Танталовые, Неполярные
| tокр.ср. | -60...+85°С |
Cном | 0,1...47 мкФ | |
Допуск | ±10%; ±20%; ±30% | |
Отн. влажность | До 98 % | |
Uном | До 30 В | |
Масса | До 11 г | |
К53-14 Алюминиевые
| tокр.ср. | -60...+85°С |
Cном | 0,033... 100 мкФ | |
Допуск | ±10%; ±20%; ±30% | |
Отн. влажность | До 98 % | |
Uном | До 30 В | |
Масса | До 5 г | |
К53-4, К53-4А, К53-27 Ниобиевые
| tокр.ср. | -60...+85°С |
Cном | 0Д...330 мкФ | |
Допуск | ±10%; ±20%; ±30% | |
Отн. влажность | До 98 % | |
Uном | До 50 В | |
Масса | До 14 г | |
К53-19 Ниобиевые
| tокр.ср. | -60...+85°С |
Cном | 0,33.330 мкФ | |
Допуск | ±10%; ±20%; ±30% | |
Отн. влажность | До 98 % | |
Uном | До 20 В | |
Масса | До 10 г |
В настоящее время ведутся разработки новых материалов для анодов электролитических конденсаторов, например, сплавов алюминия с титаном, титана, имеющего диэлектрическую проницаемость пленки окисла около 100, микрокристаллических материалов, - для уменьшения потребления дорогостоящего тантала, а также работы по совершенствованию алюминиевых технологий как наиболее дешевого материала для конденсаторостроения.
в) Полимерные конденсаторы
В настоящее время завоевывают рынки полимерные (твердотельные) конденсаторы - оксидные конденсаторы в которых используется вместо жидкого электролита токопроводящий полимер (PEDT), или полимеризованный органический полупроводник (TCNQ), или смеси полимеров, например, поливинилиденфторида (PVDF) c (CTFE). Конструкция полимерных схожа с оксидными конденсаторами; в качестве анода используется алюминиевая или танталовая фольга. В отличие от оксидных конденсаторов, полимерные обладают следующими особенностями:
- больший срок службы;
- время наработки на отказ около 50000 часов при температуре 85°С (при повышении температуры до 105 °С становится равным значениям для "обычных" оксидных конденсаторов);
- стабильная работа при высоких температурах;
- малочувствительны к перепаду температур;
- меньше эквивалентное последовательное сопротивление у некоторых образцов;
- меньше габариты и масса по сравнению с аналогичными по параметрам моделями;
- лучше частотные характеристики;
- рабочее напряжение не превышает 35 В;
- не имеют в конструкции клапанов или насечки на корпусе, так как не взрываются, электролит не испаряется;
- выше стоимость.
Параметры некоторых полимерных конденсаторов приведены в таблице 2.25. Элементы серииЦР8используются в качестве резервных источников питания микропроцессоров, в импульсных источниках питания, преобразователях напряжения. Эквивалентное последовательное сопротивление составляет 7 мОм. Конденсаторы RP-серии используются как резервные источники питания микропроцессоров, в схемах ЖК и плазменных телевизионных приемников, в цифровых устройствах, импульсных устройствах питания, преобразователях напряжения. Эквивалентное последовательное сопротивление - 12 мОм.
Тип | Параметр | Значение |
Elite (Chinsan Electronic Group, | tокр.ср. | -55...+105°С |
Cном | 100...2700 мкФ | |
Тайвань) серии UPS, UP и RP
| Uном | До 16 В |
FB Hi-САР
| tокр.ср. | -55...+105°С |
Cном | 6,8.1500 мкФ | |
Допуск | ±20% | |
Uном | До 25 В | |
ECAS (производитель Murata) Алюминиевые
| tокр.ср. | -40...+105°С |
Cном | 6,8...470 мкФ | |
Допуск | ±20% | |
Uном | До 16 В | |
ZA-серия V-тип (производитель Panasonic) Алюминиевые гибридные
| tокр.ср. | -55...+105°С |
Cном | 10…330 мкФ | |
Допуск | ±20% | |
Uном | До 80 В |
Конденсаторы FB серии выдерживают высокие токи пульсаций.
Эквивалентное последовательное сопротивление у конденсаторов ECAS 6...70 мОм.
Танталовые конденсаторы с полимерным покрытием сочетают высокую емкость с высокой удельной проводимостью полимеров. Проводимость полимеров, используемых в конденсаторостроении в 1000 раз больше, чем у конденсаторов с жидким электролитом, в 100 раз больше, чем у Мn02 и в 10 раз больше, чем с органическим полупроводниковым материалом (TCNQ). Таким образом, можно получить последовательное сопротивление конденсатора в несколько мОм.
Несмотря на высокую стоимость полимерных оксидных конденсаторов, многие производители в настоящее время полностью перешли на этот вид конденсаторов даже для бюджетных моделей электронной техники.
Ведутся разработки новых полимерных материалов, которые в скором времени заменят используемые материалы. Так, уже появились в продаже новые конденсаторы с полимерными материалами с высокой проводимостью (Hi-cCAP). Они имеют еще больший срок службы, высокую проводимость и термостойкость. Еще одна интересная особенность конденсаторов Hi-cCAP - они имеют плоскую форму, поэтому при их использовании улучшается теплообмен внутри корпуса аппаратуры.
Другим направлением развития электролитических конденсаторов является силовая электроника. Силовые электролитические конденсаторы используются в промышленных конверторах, для подавления помех и в тиристорных схемах управления двигателями. Представители, производимые фирмой EPCOS (B25 834,B25 855, B25 856), имеют диапазон номиналов 0,1...30 000 мкФ и рабочие напряжения до 4 000 В.
У электролитических SMD-конденсаторов емкость и номинальное напряжение может маркироваться непосредственно на корпусе в виде записи: емкость в микрофарадах, напряжение в вольтах. Некоторые фирмы используют для этого кодировку, содержащую букву и три цифры. Буква обозначает напряжение (см. табл. 2.26), а цифры - емкость в пФ, причем последняя цифра - это степень десятичного основания множителя. Например, запись "J223 "обозначает 22х103 пФх6,3В.
Код | е | G | J | A | C | D | E | V | H |
Uном, В | 2,5 | 4 | 6,3 | 10 | 16 | 20 | 25 | 35 | 50 |
Еще сложнее "расшифровать" информацию, закодированную в виде строки "2Е223М". В записи такого вида значение емкости не изменилось: 22 нФ, а напряжение закодировано уже двумя знаками, и буква в конце используется для кодирования допуска (см. табл. 2.26). Из таблицы 2.27 видно, что цифра для кодирования номинального напряжения обозначает множитель (степень основания десятки) на который умножается значение для получения чисел из таблицы 2.26. Таким образом, запись означает, что у данного конденсатора следующие параметры: 22нФх250В±20%.
Код | — | — | — | 0E | 0G | — | — | 0J |
Uном, В | — | — | — | 2,5 | 4 | — | — | 7 |
Код | 1A | 1C | 1D | 1E | — | 1V | 1H | 1J |
Uном, В | 10 | 16 | 20 | 25 | — | 35 | 50 | 63 |
Код | 2A | — | — | 2E | 2G | — | — | 2J |
Uном, В | 100 | — | — | 250 | 400 | — | — | 630 |
Код | J | K | M |
| ||||
Более лаконичная надпись на конденсаторе "223М 10" обозначает параметры: 22нФх10В±20%.
Цветовая раскраска на полимерных оксидных конденсаторах обозначает фирму-производителя: зеленовато-голубой - Chemicon; сиреневый - Sanyo; красный -Fujitsu, синий -Nichicon и т.д.
Подстроечные конденсаторы и с переменной емкостью наряду с основными параметрами, имеют особенные, учитывающие особенности конструктивного исполнения и функциональность.
Вместо параметра номинальная емкость указывается диапазон - минимальное и максимальное значение емкости, которое можно получить, вращая подвижную систему.
Момент вращения - минимальный момент, необходимый для непрерывного вращения вала конденсатора.
Износоустойчивость - способность конденсатора сохранять свои параметры при многократных вращениях вала. Указывается количество циклов - число перестроек емкости от минимальной до максимальной и обратно.
Скорость перестройки емкости - максимальное количество циклов перестройки емкости в минуту, которое может выдержать конденсатор без снижения надежности и прочности конструкции. Для керамических конденсаторов скорость перестройки емкости составляет 10...15 циклов/мин, для вакуумных - не более 5...30 циклов/мин.
Износоустойчивость и скорость перестройки емкости зависят от конструкции конденсатора, свойств материалов и технологии изготовления.
Особенностью этих конденсаторов является то, что их емкость изменяется в процессе производства аппаратуры, а в процессе эксплуатации емкость таких конденсаторов должна сохраняться постоянной и не изменяться под воздействием вибрации и ударов.
Подстроечные конденсаторы используются в ВЧ усилителях, фильтрах, частотных контурах, кварцевых резонаторах и т.д.
Они могут быть с воздушным или твердым диэлектриком. На рис. 3.1 показано устройство подстроечного конденсатора с твердым диэлектриком (керамический типа TZBX4 производства Murata).
Такой конденсатор состоит из основания - статора и вращающего диска - ротора, имеющих полукруглую форму. При вращении ротора изменяется площадь перекрытия обкладок, а, следовательно, и емкость конденсатора. Как правило, минимальная емкость подстроечного конденсатора, когда нет перекрытия обкладок, составляет несколько пикофарад, а при полном перекрытии - емкость максимальна (несколько десятков пикофарад). От ротора и статора сделаны внешние выводы. Плотное прилегание ротора к статору обеспечивается прижимной пружиной. Имеется паз для осуществления регулировки емкости либо сверху, либо сбоку, либо снизу через отверстие в печатной плате.

Рис.3.1. Конструкция подстроечного SMD-конденсатора с твердым диэлектриком
Устройство подстроечного конденсатора с воздушным диэлектриком -схожее с предыдущей конструкцией, но разница состоит в том, что к ротору и статору крепится несколько наборов пластин для увеличения емкости. Такая конструкция используется реже.
Емкость этих конденсаторов может плавно изменяться в процессе эксплуатации аппаратуры. Они используются для настройки колебательных контуров приемников. Так же, как и подстроечные, конденсаторы переменной емкости состоят из статора и ротора, но количество роторных и статорных пластин велико для получения максимальной емкости порядка 500 пФ. Как правило, эти конденсаторы имеют воздушный диэлектрик (см. рис. 3.2). Статорные и роторные пластины изготавливают из пластин алюминия, латуни, стали или инвара, а для особо ответственных случаев - литьем под давлением.
Устройство конденсатора переменной емкости может включать несколько секций, каждая из которых служит для настройки отдельного колебательного контура. Для подгонки емкости отдельных секций в крайних пластинах делаются прорези.
Для защиты конструкции от внешних воздействий, ее помещают в металлостеклянную или металлокерамическую оболочку и откачивают воздух.

Рис. 3.2. Конструкция конденсатора переменной емкости с воздушным диэлектриком
Форма пластин ротора и статора определяет вид зависимости изменения емкости конденсатора от угла поворота ротора, которые бывают:
- с линейной зависимостью емкости от угла поворота (прямоемкостной);
- с линейной зависимостью резонансной частоты от угла поворота (прямочастотный);
- с постоянным изменением по всей шкале зависимостью емкости от угла поворота (средневолновый или логарифмический).
Прямочастотные конденсаторы нашли широкое применение в радио электронной аппаратуре, как и логарифмические, обеспечивающие к тому же одинаковую точность отсчета по всему диапазону. Остальные формы зависимостей используются в конденсаторах с ограниченным применением. Отметим, что изменить функциональную характеристику у конденсаторов можно также: приданием специальных изломов пластинам, вырезом на статоре, изготовлением ступенчатых радиусов, подключением дополнительных емкостей, смещением оси вращения ротора относительно центра пластин, изменением формы пластин и т.д.
В конструкциях конденсаторов переменной емкости с плоскими пластинами используется вращательное движение, а с цилиндрическими пластинами -находят применение: как с поступательным, так и вращательным перемещением одних секций относительно других.
Отечественные конденсаторы с изменяемой емкостью имеют обозначение:
![]()
КП - конденсатор с переменной емкостью, КТ - подстроечный, далее тип диэлектрика, количество секций. В конце обозначения минимальная и максимальная емкость в пикофарадах. Например, запись "КПК3-10/17" обозначает, что перед вами керамический трехсекционный конденсатор, имеющий возможность изменять свою емкость в пределах 10...17 пФ.
Импортные конденсаторы маркируются следующим образом. Указывается тип и серия, затем максимальная емкость в пФ и тип выводов (RA - для пайки с обратной стороны платы RSМ - SMD- компонент). Например, запись "CTC-05-20-RSM" означает СТС серию 5 тип, максимальная емкость 20 пФ SMD-компонента. Между типом и максимальной емкостью может указываться тип по ТКЕ в виде латинской буквы (Z - NPO, N - N200, Т - N450, R - N750, P - N1200 и т.п.). После максимальной емкости могут следовать буквы - обозначение дополнительных конструкционных параметров и данных, например, наличие защитной пленки, вид конструкции, сторона регулировки, индивидуальные коды и т.д. Цветовая маркировка корпуса служит для определения типа конденсатора.
Представители подстроечных и конденсаторов переменной емкости представлены в таблице 3.1.
Вакуумные модели по сравнению с конденсаторами с воздушным диэлектриком обладают большими удельными емкостями, меньшими потерями, более высокой электрической прочностью (работа при токах до 1 000 А) и стабильностью параметров. Они используются в мощных передающих устройствах (до 2000 кВт) в широком диапазоне частот, в качестве блокировочных, разделительных и фильтровых элементов, накопителей в импульсных формирователях.
| |||
Тип | Параметр | Значение | |
КПК-2, КПК-3 Керамические подстроечные
| tокр.ср. | -60...+85°С | |
Сmin/Сmах | От 8/до 450 пФ | ||
Uном | До 500 В | ||
Отн. влажность | До 80 % | ||
Масса | До 40 г | ||
ТКЕ | -(20...80)*10-5 1/°С | ||
Момент вращения | 500...2500 гс*см | ||
КТ4-21, КТ4-25, КТ4-32 Керамические подстроечные
| tокр.ср. | -60...+85°С | |
Сmin/Сmах | От 0,4/ до 40 пФ | ||
Uном | До 250 В | ||
Отн. влажность | До 98 % | ||
Масса | 0,6 г | ||
ТКЕ | М750, М470, М75 МПО, П100 | ||
Момент вращения | 30. ..350 гс*см | ||
Количество циклов перестройки | 200 | ||
КТ2-17...21, Керамические Подстроечные
| tокр.ср. | -60...+ 125°С | |
Сmin/Сmах | От 1,5/ до 50 пФ | ||
Cном | 160 В | ||
Отн. влажность | До 98 % | ||
ТКЕ | З*10-4 1/°С | ||
Момент вращения | 60...400 гс*см (для КT2-2.23 250...600 гс*см) | ||
СТС-05 Керамические подстроечные
| tокр.ср. | -30...+85°С | |
Сmin/Сmах | От 1,0/до 70пФ | ||
Uном | До 400 В (постоянного тока) | ||
Upаб | До 200 В (постоянного тока) | ||
ТКЕ | NPO...N2200 | ||
TZBX4, TZC03, TZV02, TZVY2 Керамические подстроечные
| tокр.ср. | -55...+85°С | |
Сmin /Сmах | От 0,65/до 45 пФ | ||
Uраб | До 100 В | ||
ТКЕ | NPO...N1200 | ||
КП1-3, КП1-4, КП1-6 Переменной емкости, вакуумный | tокр.ср. | -60...+ 125°С | |
Сmin/Сmах | От 3/до 1000 пФ | ||
Uном | До 45 В | ||
Uном max | До 45кВ | ||
| Iном max ( при +70 °С /при +125 °С | До 100 A/до 6А | |
fmax | До 30 МГц | ||
Отн. влажность | До 98 % | ||
Масса | До 7 150 г | ||
То | До 5 000 ч | ||
ТКЕ | (30±10)10-5 1/°С | ||
Момент вращения | До 0,1 кгс*м | ||
Число оборотов от Сmin к Сmах | 44 | ||
Скорость перестройки | 5 циклов/мин | ||
Количество циклов перестройки | 5 000 | ||
| Резисторы: виды, устройство, маркировка и параметры резисторов |
| Масштабный обзор светодиодного освещения |
| Дуговая защита «Лайм» - прорыв технологий |