Она устанавливается соответствующим ГОСТ и указывается с помощью маркировки на элементе или на таре. Численное значение номинальной величины устанавливается рядами предпочтительных чисел, т.е. десятичными рядами геометрических прогрессий, первый член которых равен 1, а знаменатель q определяет количество номинальных значений в десятичном (от 1 до 10) интервале. Любой член такой прогрессии aN равен:
AN = qN-1,
где N - номер искомого члена.
Для номинальных значений параметров электроэлементов наиболее употребительны ряды предпочтительных чисел, которым присвоены обозначения Е6, Е12, Е24 и т.д.
Элементы этих рядов вычисляются соответственно следующим образом. Сначала определяются основания рядов:
![]()
а, затем, подставляя в формулу значения q, определяем ряды:
Е6 1,0; 1,5; 2,2; 3,3; 4,7; 6,8.
Е12 1,0; 1,2; 1,5; 1,8; 2,2; 2,7; 3,3; 3,9; 4,7; 5,6; 6,8; 8,2.
Е24 1,0; ...
Е48 1,0; ...
Использование рядов предпочтительных чисел сокращает количество номиналов, уменьшает число типоразмеров элементов и удешевляет производство.
Допускаемое отклонение фактической величины от номинальной называется допуском и указывается в процентах или с помощью класса точности.
ГОСТ 9664-61 определяет следующие стандартные отклонения действительной величины параметра от номинальной (в %).
... ± 0,01; ± 0,02; ± 0,05; ± 0,1; ± 0,2; ± 0,5; ± 1,0; ± 5,0; ± 10,0; ± 20,0; ± 30,0....
1 2 3
Наиболее часто используются: 1, 2, и 3 классы точности. Класс точности не является показателем качества.
Электрическая прочность - это способность ЭРЭ выдерживать электрические нагрузки без потери работоспособности.
Электрическую прочность характеризуют следующие напряжения.
Uном - максимальное напряжение, под которым при нормальных условиях (температура 15...25 °C; влажность 45...75 %, давление 650...800 мм.рт.ст.) элемент может находиться в течение гарантированного срока службы.
Uраб - напряжение, соответствующее эксплуатационным условиям и требованиям надежности. Для соблюдения условий нормальной работы ЭРЭ должно выполняться неравенство:
Uраб < Uном.
Uисп - максимальное напряжение, под которым ЭРЭ может находиться небольшой промежуток времени (примерно несколько секунд).
Uпpo6 - минимальное напряжение, при котором наступает пробой изоляции ЭРЭ.
Номинальная мощность (PHOM) - максимально допустимая мощность, которую элемент может рассеивать в течение гарантированного срока службы при непрерывной электрической нагрузке и определенных условиях окружающей среды: температуры, влажности и атмосфеРном давлении, и при условии, что напряжение на элементе не превышает Uном.
На электрические параметры некоторых элементов схем большое влияние оказывает различные потери. Особенно они влияют на параметры колебательных контуров, так как определяют их активное сопротивление.
Активное сопротивление r складывается из:
- активного сопротивления проводников току высокой частоты;
- сопротивлений, определяемых диэлектрическими потерями;
- сопротивлений, вносимых экранами, сердечниками и различными деталями;
- сопротивления, вносимого различными нагрузками.
Рассмотрим некоторые из них.
1. Сопротивление проводников. Известно, что сопротивление прямолинейного проводника переменному току больше его сопротивления постоянному току (омическое сопротивление) из-за явления поверхностного или Скин-эффекта. Суть заключается в следующем. При прохождении по проводнику переменного тока образуется магнитное поле, под влиянием которого в проводнике возникает индукционный ток. Взаимодействие этого тока с основным вызывает перераспределение тока по сечению проводника так, что плотность тока в наружных частях сечения возрастает, а во внутренних - падает. С увеличением частоты ток сильнее оттесняется к поверхности проводника, занимая все более тонкий слой. Рассмотрим схему этого явления (см. рис. 1.1).

Рисунок 1.1. а) - возникновение скин-эффекта; б) - кривые распределения тока по сечению проводника при токах различной частоты: f1, f2 f3
В прямолинейном проводнике круглого сечения мгновенное направление переменного тока i1 указано стрелкой. Ток i1 возбуждает магнитное поле Н1, имеющего вид концентрических окружностей и направленных по часовой стрелке. Это поле Н1, пронизывая проводник, возбуждает индукционный ток i2, который создает вторичное магнитное поле Н2, направленное противоположно основному. Циркуляция тока i2 показана пунктирной линией и стрелкой. Линии тока i2 в наружных частях проводника совпадают, а во внутренних - они противоположны. Поэтому плотность тока в наружных слоях проводника возрастает, а во внутренних падает. Поэтому уменьшается действующее, или эффективное сечение проводника, что ведет к повышению сопротивления провода току высокой частоты, которое может быть в несколько раз выше значения сопротивления постоянному току.
Оказывает влияние на величину сопротивления проводника и шероховатость поверхности.

Рис. 1.2. Зависимость сопротивления проводника от шероховатости поверхности
Шероховатости удлиняют путь тока и увеличивают сопротивление проводника. А в совокупности с действующим Скин- эффектом сопротивление еще больше увеличивается и может достигать 50...100 % роста на частотах в сотни МГц. Для предотвращения этого явления токопроводящие поверхности тщательно полируют и покрывают слоем серебра, тогда поверхность меньше подвергается окислению. Для защиты используется также покрытие слоем радия, потом Ag, потом снова радием.
Сопротивление криволинейного проводника может значительно отличаться от сопротивления прямолинейного проводника при всех прочих равных условиях. Это объясняется тем, что на любом участке криволинейного проводника распределение тока по сечению определяется как собственным магнитным потоком, так и магнитным потоком соседних участков. Поэтому ток оттесняется к внутренним участкам катушки, а активное сечение уменьшается (см. рис. 1.3). При этом действующее сечение уменьшается, сопротивление возрастает. Это явление называется эффектом близости и особенно сильно проявляется в проводниках, свернутых в виде спирали. Сопротивление может возрасти в несколько раз.

Рис. 1.3. Распределение плотности тока по сечению провода в катушке
2. Потери в диэлектрике. Они возникают в тех элементах, где имеется несовершенный диэлектрик, находящийся в переменном электрическом поле. Например, в конденсаторах, катушках индуктивности, переключателях, цоколях и панельках и т.п. Каждый такой случай можно уподобить наличию несовершенного диэлектрика в конденсаторе. Поэтому можно рассматривать диэлектрические потери в конденсаторе.
При невысоких напряжениях диэлектрические потери в основном вызываются замедленной поляризацией и проводимостью диэлектрика. Благодаря потерям в полной проводимости конденсатора появляется активная составляющая, которая изменяет угол сдвига фаз φ между током и напряжением. В идеальном конденсаторе φ=90°, в конденсаторе с потерями φ<90°.
Мощность потерь может быть выражена соотношением:
Pn = UI cos(φ).
Диэлектрические потери становятся значительными лишь при применении низкокачественных диэлектриков и на высоких частотах. При повышении температуры диэлектрические потери увеличиваются.
Стабильность параметров - это способность элементов сохранять свои первоначальные параметры в пределах, установленных ТУ и ГОСТ при воздействии внешних факторов.
Внешние воздействия делятся на климатические и механические.
К механическим воздействиям относятся вибрация и удары, а к климатическим - температура, влажность, атмосферное давление.
Наиболее существенное влияние на параметры оказывает колебание температуры. На ЭРЭ воздействует температура окружающей среды, подогрев со стороны других элементов, а также самонагрев ЭРЭ, связанный с выделением тепла. Под влиянием температуры происходит изменение размеров отдельных деталей и их взаимное перемещение, изменяются величина диэлектрической проницаемости диэлектриков и удельное электрическое сопротивление проводников.
Изменения, вызываемые температурой делятся на обратимые и необратимые. Обратимое изменение параметра - это такое, при котором параметр изменяется в соответствии с изменением температуры, а после установления первоначальной температуры параметр возвращается к своему исходному значению. Такие изменения характеризуются температурным коэффициентом (ТК).
Необратимые изменения свидетельствуют о несовершенстве конструкции элемента, в котором могут возникать остаточные деформации и проявляться механизмы старения.
Изменение атмосферного давления наиболее сильно сказывается на электрической прочности: при понижении давления электрическая прочность падает. Для защиты элементов применяется герметизация.
Механические воздействия: вибрации, удары, растяжение, скручивание могут привести к обрыву проволочного вывода или нарушению целостности контактного узла, что приводит к катастрофическим отказам. Кроме того, может иметь место нарушение герметичности конструкции, растрескивание заливочного компаунда или опрессовочной пластмассы.
Для оценки влияния механических воздействий введем следующие понятия.
Вибропрочность - свойство противостоять разрушающему воздействию вибрации и после длительного ее воздействия сохранять способность к выполнению своих функций.
Виброустойчивость - способность выполнять свои функции в условиях вибрации.
Особенно опасен механический резонанс, когда частота собственных колебаний совпадает с внешней частотой.
Резистор - электроэлемент, предназначенный для поглощения электрической энергии и распределения ее между другими элементами. Резисторы составляют примерно 50 % от общего числа монтируемых элементов.
Промышленность выпускает различные типы резисторов с номинальным сопротивлением от долей Ом до ТОм (1012 Ом) с допускаемыми отклонениями ±(0,001...30) %.
Классификация резисторов производится по характеру изменения сопротивления, назначению и материалу резистивного элемента (см. рис. 2.1).

Рис. 2.1. Классификация резисторов
Дадим разъяснения к рисунку 2.1.
Резисторы постоянного сопротивления применяются в качестве нагрузок усилительных каскадов, делителей напряжения, в фильтрах цепей питания, добавочных сопротивлений и шунтов измерительных цепей и т.д. Они являются изделиями массового производства и стандартизованы.
По характеру изменения сопротивления резисторы делятся следующим образом. Резисторы переменного сопротивления регулируемые применяются в качестве плавных регуляторов усиления, для точной и плавной установки напряжения (например, в регуляторах громкости). Подстрочные резисторы предназначены для точной установки сопротивления при разовой настройке и регулировке прибора при изготовлении и ремонте аппаратуры.
Резисторы с нелинейной вольт-амперной характеристикой (ВАХ) предназначены для устройств автоматики, измерительных цепей автоматического регулирования и стабилизации токов и напряжений. К ним относятся варисторы, сопротивление которых зависит от приложенного напряжения, терморезисторы,
сопротивление которых зависит от температуры, магниторезисторы и фоторезисторы.
По назначению резисторы могут быть разделены на элементы общего и специального назначения.
Резисторы общего назначения используются в качестве нагрузок, поглотителей и делителей в цепях питания, элементов шунтов, регуляторов громкости и тембра, в цепях формирования импульсов, в измерительных приборах невысокой точности и т.д.
В данную группу входят резисторы постоянного сопротивления, величина сопротивления которых фиксируется при изготовлении, и резисторы переменного сопротивления, конструкции которых позволяют плавно менять величину сопротивления. Диапазон величин сопротивлений резисторов общего назначения варьируется от 10 Ом до 10 МОм. Номинальные мощности рассеяния от 0,125 до 100 Вт.
Резисторы специального назначения, обладающие определенными специфическими свойствами и параметрами, могут быть разделены на следующие виды.
1. Высокоомные резисторы - преимущественно композиционного типа с сопротивлением до 1013 Ом применяются в устройствах для измерения очень малых токов: в дозиметрах различных излучений. Номинальная мощность обычно не указывается, а рабочие напряжения составляют 100...300 В. Типы: С5- 23, КВМ (здесь и далее во втором разделе расшифровки будут даны ниже в соответствующих разделах, посвященных отдельным типам резисторов).
2. Высоковольтные резисторы - с сопротивлением до 1011 Ом, но большей мощности и более крупные по размерам, чем высокоомные резисторы. Применяются в делителях напряжения и поглотителях, для искрогашения, разряда конденсаторов фильтров и т.д. Рабочие напряжения 10...60 кВ. Типы: КЛВ, С3-5, С3-6 и др.
3. Высокочастотные резисторы - преимущественно поверхностного типа, предназначены для аппаратуры, работающей на частотах свыше 10 МГц, кабелях, волноводах. Высокочастотные резисторы используют при конструировании высоко и сверхвысокочастотных трактов аппаратуры в качестве согласующих нагрузок, аттенюаторов, эквивалентов антенн, элементов волноводов, а также в измерительной приемно-передающей и радиолокационной аппаратуре.
Отличаются малой собственной емкостью и индуктивностью из- за отсутствия нарезки и выводов, а также защитной эмали. Номинальная мощность некоторых резисторов доходит до 5, 20 и 50 кВт, поэтому требуется охлаждение. Сопротивление таких резисторов не превышает 300 Ом. Типы: МУН, МОУ, УНУ, С2-20, С6-2...9 и др.
4. Прецизионные и полупрецизионные резисторы - применяются в точных измерительных устройствах, релейных системах, магазинах сопротивлений. Отличаются высокой точностью изготовления, повышенной стабильностью основных параметров, часто выполняются герметизированными. Величины сопротивлений: 0,1 Ом...1МОм. Рном не более 10 Вт. Типы: БЛП, С2-10, С2-13 и др.
5. Миниатюрные резисторы - предназначены для малогабаритной аппаратуры. Рном составляет 0,01...0,125 Вт, сопротивление до 5 МОм. Типы: УЛМ, КИМ и др.
По конструктивному оформлению резисторы можно разделить следующим образом:
а) резисторы с проводящим элементом, представляющим собой пленку, осажденную на поверхность изоляционного основания;
б) резисторы с объемным проводящим элементом;
в) резисторы с проводящим элементом из проволоки и микропроволоки.
Основная классификация резисторов проводится по типу проводящего элемента.
В соответствии с новой действующей системой существует сокращенное обозначение резисторов (см. табл. 2.1), состоящее из трех элементов [2].
В старой системе резисторы обозначались следующим образом. С - резисторы постоянные;
СП - резисторы переменные;
СТ - терморезисторы;
СН - варисторы.
Второй элемент обозначал вид резисторного элемента, а третий - тип разработки.
С1 - углеродистые и бороуглеродистые;
С2 - металлодиэлектрические и металлоокисные;
С3 - композиционные пленочные;
С4 - композиционные объемные;
С5 - проволочные;
С 6 - металлопленочные;
С7 - полупроводниковые.
Элементы | Пример обозначения | ||
Первый | Второй | Третий | |
Р - резисторы, РП - резисторы переменные | 1- непроволочные, 2- проволочные, металлофольговые | Порядковый номер разработки конкретного типа резистора | Р1-26 (постоянный непроволочный резистор с порядковым номером разработки 26) |
ТР - терморезисторы с отрицательным ТКС, ТРП - терморезисторы с положительным ТКС. | Полупроводниковыематериалы не обозначаются | Порядковый номер разработки | ТР-7 (терморезистор с отрицательным ТКС с порядковым номером разработки 7) |
ВР - варисторы постоянные, ВРП -варисторы переменные | Полупроводниковые материалы не обозначаются | Порядковый номер разработки | ВРП-14 (варистор переменный с порядковым номером разработки 14) |
Резисторы с такими обозначениями можно встретить как в аппаратуре, так и в продаже. В еще более старой системе обозначений у резисторов был буквенный код, обозначавший тип резистора и его основные свойства, например, маркировка МЛТ означала, что резистор металлопленочный лакированный, термостойкий, а УЛМ - углеродистый лакированный, малогабаритный. Резисторы с такой маркировкой можно встретить в аппаратуре, но все реже и реже.
Свойства резисторов характеризуются следующими основными параметрами:
- номинальным сопротивлением;
- допускаемым отклонением;
- номинальной мощностью;
- электрической прочностью;
- стабильностью;
- уровнем собственных шумов;
- надежностью, размерами, массой, стоимостью.
Рассмотрим их более подробно.
Величина сопротивления (Rном) является основным параметром и определяется размерами проводящего элемента и свойствами его материалов.
Типичные конструкции проводящих элементов приведены на рисунке 2.2.
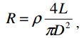
Для резисторов цилиндрической формы с проводящим элементом, нанесенным на изоляционную поверхность, когда толщина проводящей пленки мала по сравнению с диаметром основания (см. рис. 2.2. (а)), величина сопротивления определяется по формуле:

где: р- удельное сопротивление пленки; h - толщина пленки;
L - длина пленки;
D - диаметр основания.

Рис. 2.2. Основные конструкции резисторов (пояснения смотри в тексте)
Величину сопротивления поверхностного типа можно изменить, если последовательно снимать части слоя проводящего элемента путем спиральной нарезки (рис. 2.2 (6)) или прорезанием изолирующих канавок (рис. 2.2 (в)). Это позволяет увеличивать сопротивление резисторов и свести к минимуму влияние переходного сопротивления в контактном узле на полное сопротивление резистора.
Для объемной конструкции (рис. 2.2 (г)) величина сопротивления определяется формулой:

где D - диаметр проводящего элемента.
Сопротивление проволочных резисторов определяется длиной проволоки, ее удельным сопротивлением и площадью поперечного сечения (рис. 2.2 (д)):

В конструкциях резисторов переменного сопротивления применяются обычно подковообразные проводящие элементы (рис. 2.2 (е)).
Номинальные величины сопротивлений стандартизованы.
Для резисторов постоянного сопротивления согласно ГОСТ 2825-67 установлено 6 рядов: Е6; Е12; Е24; Е48; Е96; Е192, а для резисторов переменного сопротивления согласно ГОСТ 10318-80 установлен ряд Е6. Число после буквы Е указывает количество значений номиналов в каждом десятичном интервале.
На резисторы наносится буквенно-цифровая маркировка. Интересно, что систем маркировки достаточно много, а у некоторых производителей она своя. С другой стороны, с уменьшением размеров резисторов, громоздкие системы маркировки постепенно были вытеснены более компактными. В результате на резисторах в настоящее время маркируется только отклонение и номинал.
Проследим историю маркировок, от старых, которые еще могут встретиться, до современных.
1. Буквенно-цифровая маркировка резистора содержала номинальную мощность, номинальное сопротивление, допуск или класс точности и дату изготовления. Нередко на резисторе умещался и логотип завода- изготовителя. Номинальное сопротивление обозначалось цифрами с указанием единицы измерения следующим образом: Ом обозначались буквой "R", или "Е", или вообще без буквы; кОм обозначались буквой "К", МОм - буквой "М", ГОм - буквой "Г", или "G", ТОм - буквой "Т" (тераомы).
Например, надпись "220Е", или "220", или "220R", или "220Ω" обозначала номинал 220 Ом, 68К - 68 кОм, "3,3М" или "3М3" - 3,3 МОм, "4Г7" - 4,7 ГОм, "1Т", или "1ТО" - 1 ТОм и т.д. (см. рис. 2.3 (а)-(в)).

Рис. 2.3 a)

Рис. 2.3 б)

Рис. 2.3 в). Примеры обозначения параметров на корпусах резисторов
2. Затем появилась система маркировки с помощью линейчатого набора полосок различного цвета, с помощью которых кодировалось отклонение и сопротивление, а также ТКС. Расшифровка параметров в этом случае производилась так, как указано на рисунке 2.4. Сразу появилась кодировка из трех, четырех, пяти и шести колец. Это сильно затруднило расшифровку нанесенного спектра полосок без специальных средств (каталога или специального электронного расшифровщика). Вдобавок к этому такая система обладает еще рядом недостатков. Во-первых, необходимо сильно напрягать зрение, чтобы отличать полоски, например серого от белого цвета, или голубого от серого, особенно у резистора, установленного на плате внутри корпуса, или при искусственном освещении. Цвета со временем изменяются (выцветают), что может внести ошибку при определении параметров ЭРЭ. Во-вторых, при потере цвета хотя бы одной полоски, например, стирание или перегорание краски, информация о резисторе теряется безвозвратно. В-третьих, у некоторых резисторов (отечественных с допуском ±20 %) пятиполосной системы, пятая полоса, обозначающая допуск не ставится; аналогично при четырехполосной системе с таким же допуском последняя полоска отсутствует. В результате система, соответственно, становится в первом случае четырехполосной, а во втором - трехполосной. Если во втором случае путаницы не происходит, так как зарубежной трехполосной кодировки не существует, то получившаяся четырехполосная кодировка может дать ошибочное значение номинала резистора. В-четвертых, выигрыш по размеру у такой системы - небольшой.
В цветовую кодировку некоторые производители включают и тип резисторов и ТКС, но такие системы еще более сложны для расшифровки.
По перечисленным выше причинам, такая система маркировки резисторов очень неудобна, но она используется некоторыми производителями.

Рис. 2.4. Маркировка параметров резисторов с помощью цветных полосок
3. Современные резисторы для поверхностного монтажа (бескорпусные и безвыводные) потребовали другой системы маркировки. При размерах корпуса в несколько миллиметров имеется возможность размесить всего несколько знаков. Поэтому производители чип-компонентов используют преимущественно числовую кодировку и только номинала резисторов (см. примеры на рис. 2.5 (а)-(в)). Для этого используется или трехпозиционный, или четырехпозиционный код, включающий основание, показатель степени и положение запятой. Резисторы с близким к нулю сопротивлением (перемычки) обозначаются, как показано на рисунке 2.5 (г).

Рис. 2.5 а) – в)

Рис. 2.5 г). Варианты кодировки номиналов резисторов для поверхностного монтажа
Допустимое отклонение или допуск указывается либо на ЭРЭ, либо в паспорте на электроэлемент, в зависимости от типа маркировки (см. рис. 2.3 (а)-(в) и 2.4). Согласно ГОСТ 9664-74 установлен ряд допусков: ±0,001; ±0,002; ±0,005; ±0,01;±0,02; ±0,05; ±0,1; ±0,25; ±0,5; ±1;±2; ±5; ±10; ±20; ±30 (%). Каждому отклонению соответствует свой класс точности, обозначаемый соответствующей буквой латинского алфавита. На ЭРЭ маркируется либо отклонение, либо класс точности.
В каждом конкретном случае выбираются резисторы с необходимым допуском, обеспечивая с заданной точностью режимы в электрических цепях.
Номинальная мощность (Рном) - наибольшая мощность, которую резистор может рассеивать при заданных условиях в течение гарантированного срока службы при сохранении параметров в условленных пределах при непрерывной электрической нагрузке и определенной температуре окружающей среды. Величина Рном определяется конструкцией, физическими свойствами материалов проводящего элемента и защитного слоя. С повышением температуры окружающей среды Рном снижается. С целью увеличения срока службы необходим запас по Рном, что позволяет уменьшить изменение сопротивления в течение длительного периода времени и снизить влияние температуры.
Конкретные значения Рном в Вт устанавливаются согласно ГОСТ 24013-80 и ГОСТ 10318-80 и выбираются из ряда:
0,01; 0,025; 0,05; 0,062; 0,125; 0,25; 0,5; 1; 2; 3; 4; 5; 8; 10; 16; 25; 40; 63; 80; 100; 250; 500.
Удельная мощность рассеяния Рo (Вт/см2 определяется по формуле:
Po = P/S
Каждая конструкция резистора характеризуется предельным рабочим напряжением (Uпред), которое может быть приложено к резистору, не вызывая нарушения его работоспособности. Величина Uпред зависит от условий эксплуатации и рассчитывается по формуле:
![]()
Предельное напряжение при нормальном атмосфеРном давлении в большинстве случаев ограничивается тепловыми процессами в проводящем элементе. При понижении давления Uпред снижается.
Стабильность параметров резистора обычно характеризуется температурным коэффициентом сопротивления (ТКС), которое) определяется как относительное изменение величины сопротивления при изменении температуры на один градус. Сопротивление резистора может изменяться под влиянием температуры, влажности, процессов старения, напряжения и т.д.
Температура. Под ее влиянием возникают обратимые и необратимые изменения сопротивления резистора.
Обратимые изменения характеризуются ТКС, величина которого определяется свойствами материала элемента.
Для проволочных резисторов ТКС имеет малое значение, практически не зависимое от температуры (0...2)10-4 1/°С.
Необратимые температурные изменения сопротивления резистора возникают после длительного воздействия повышенных температур или после нескольких температурных циклов. Эти изменения вызываются структурными изменениями резистивного элемента и наблюдаются только у непроволочных резисторов.
Влажность. При воздействии влаги усиливаются окислительные и электрохимические процессы, которые сопровождаются необратимыми изменениями сопротивления. Для защиты резисторов применяют покрытия: лаками, эмалями, опрессовку пластмассами и герметизацию. Поэтому резисторы могут работать при влажности 90...98 %.
Старение. С течением времени происходит изменение сопротивления резистора, которое вызывается структурными изменениями резистивного элемента за счет кристаллизации, окисления и различных электрохимических процессов, а также за счет изменения свойств переходных контактов. Эти явления называются старением. Они в основном проявляются у непроволочных резисторов.
Собственные шумы - важный параметр, представляющий помехи для полезного сигнала и накладывающий ограничения на чувствительность различных схем. Они представляют собой переменное напряжение, характеризующееся непрерывным широким спектром и одинаковой интенсивностью всех составляющих.
Имеют место два вида шумов.
1. Тепловые шумы - возникают в связи с изменением объемной концентрации электронов в проводнике за счет их теплового движения, поэтому между любыми точками проводника возникает напряжение колебательного характера. Тепловые шумы имеют место во всех типах резисторов.
2. Токовые шумы - возникают в проводниках с зернистой структурой из-за изменения контактных сопротивлений между зернами проводящего элемента (разрушение контакта, спекание частиц, электрохимические процессы, механические вибрации). Величина шума зависит от длины проводящего элемента, размера зерен и сопротивления. Чем больше сопротивление, чем дисперснее структура, чем длиннее резистивный элемент, тем токовые шумы меньше.
Таким образом, на концах резистора проявляется переменная составляющая напряжения различных частот. Действующее значение этой переменной составляющей напряжения Еm, отнесенного к постоянному напряжению Ur, приложенной к резистору, называется уровнем собственных шумов D (мкВ/В) и выражается как:
D = Em/Ur
Уровень шумов D обычно указывается для полосы частот от 50 Гц до 5 кГц и делится на 2 группы:
A, для которой D ≤ 1 мкВ/В;
Б, для которой D ≤ 5 мкВ/В.
Для резисторов специального применения D ≤ 1 мкВ/В.
Уровень собственных шумов в значительной степени зависит от качества контакта между резистивным элементом и выводами.
Надежность. Экспериментально установлено, что 50 % отказов резисторов происходит из-за нарушения контактного соединения выводов с резистивным элементом и его обрыва, до 40 % - из-за перегорания резистивного элемента, и 10 % - из-за недопустимого изменения сопротивления. Отказы вызываются как недостатками конструкции и технологии производства, так и неправильной эксплуатацией (электрические перегрузки, перегрев, слишком плотный монтаж и т.д.).
Для повышения надежности и увеличения периода работы, резисторы используют в облегченных (по мощности и напряжению) режимах в условиях хорошего охлаждения. Для этого выбирают Кн ≈ 0,2...0,5.
Наибольшей надежностью обладают непроволочные объемные резисторы постоянного сопротивления, а также высокостабильные углеродистые и металлопленочные термостойкие. Проволочные резисторы отличаются невысокой надежностью.
Далее будут рассмотрены основные виды резисторов по типу их резистивного элемента.
Углеродистые резисторы - ЭРЭ поверхностного типа, проводящий элемент которых представляет собой пленку пиролитического углерода, полученную путем разложения углеводородов в вакууме или среде инертного газа при высокой температуре (940...1000 °С). Технология их производства была разработана в 1946...47 г.г. и они нашли широкое применение в РЭА.
Пиролитический углерод получают путем термического разложения паров углеводородов без доступа воздуха.
На практике разлагают гептан С7Н16. Достоинства углеродистых резисторов определяются свойствами пиролитического углерода:
- высокая стабильность параметров;
- стойкость к импульсным перегрузкам;
- низкий уровень токовых шумов;
- небольшой и всегда отрицательный ТКС (однозначный);
- малая зависимость сопротивления от частоты и напряжения;
- термостойкость и химическая стойкость;
- возможность получения слоев с различной величиной сопротивления;
- относительно низкая стоимость.
Предельные номинальные сопротивления ограничены значениями 5...10 МОм. В этом состоит главное ограничение в использовании углеродистых резисторов.
Использование в качестве проводящих элементов бороуглеродистых пленок, позволило создать прецизионные резисторы с еще более лучшими значениями ТКС, чем у углеродистых.
К углеродистым резисторам общего назначения относятся резисторы типов: ВС - высокостабильные и их разновидности: ОВС - высокостабильные повышенной надежности и ВСЕ - высокостабильные покрытые эмалью. Конструкция углеродистых резисторов показана на рисунке 3.1.

Рис. 3.1. Конструкции углеродистых резисторов
Параметры углеродистых резисторов сведены в таблицу 3.1.
Тип резистора | Параметр | Значение |
ВС высокостабильный | Температура окр. ср. | -60...+100 °С |
Rном | 27 Ом ... 10 МОм | |
Рном | 0,25...10 Вт | |
Uраб | До 1500 В | |
Допуск | ±5 %; ±10 %; ±20 % | |
ТКС | -(8...13)*10-2 1/°С | |
ВСЕ Высокостабильный эмалированный | Температура окр. ср. | -60... +155 °С |
Rном | 27 Ом ... 240 кОм | |
Рном | 0,25...10 Вт | |
С1-4 | Температура окр. ср. | -55...+125 °С |
Rном | 1 Ом ... 22 МОм | |
Рном | 0,125...3 Вт | |
Допуск | ±2 %; ±5 %; ±10 % | |
Uраб | До 700 В | |
ТКС | -(2,5...15)*10-4 1/°С | |
С1-8 | Температура окр. ср. | -60...+155 °С |
Rном | 10 Ом ... 10 МОм | |
Рном | 0,125...1 Вт | |
Допуск | ±1 %; ±2 %; ±5 % | |
ТКС | -(5...10)*10-2 1/°С |
К углеродистым резисторам специального назначения относятся: полупрецизионные, прецизионные, измерительные и высокочастотные резисторы. Технология их изготовления имеет следующие особенности:
- процесс пиролиза ведется при более высоком вакууме;
- тонкие слои углерода с пониженной стабильностью и с большим ТКС не применяются;
- снижается удельная нагрузка для уменьшения зависимости сопротивления от напряжения и нагрузки;
- улучшается контактный узел резистора;
- применяются герметизация резистора и искусственное временное старение.
Параметры и основные разновидности представлены в таблице 3.2. Резисторы типа БЛП предназначены для работы в измерительной аппаратуре, а содержание бора в проводящем элементе 2...5 % позволяет существенно снизить ТКС.
Резисторы типа УНУ изготовляются в виде трубок, стержней, дисков, пластинок, шайб.
Тип резистора | Параметр | Значение |
УЛИ Углеродистый лакированный измерительный | Температура окр. ср. | -60...+80 °С |
Rном | 0,75 Ом ... 1 МОм | |
Рном | 0,1...1 Вт | |
Допуск | ±1 %; ±2 %; ±5 % | |
ТКС | «3-10-2 1/°С | |
БЛП Бороуглеродистый лакированный прецизионный | Температура окр. ср. | -60...+100 °С |
Rном | 1 Ом ... 100 кОм | |
Рном | 0,1...1 Вт | |
Допуск | ±0,5 %; ±1 % | |
D | Менее 5 мкВ/В | |
ТКС | -(1,2...2)*10-4 1/°С | |
УЛМ Углеродистый лакированный малогабаритный | Температура окр. ср. | -60...+100 °С |
Rном | 10 Ом ... 1 МОм | |
Рном | 0,12 Вт | |
Допуск | ±5 %; ±10 %; ±20 % | |
Uраб | До 100 В | |
D | Менее 5 мкВ/В | |
ТКС | -(12 ... 20)*10-2 1/°С | |
УНУ Углеродистый незащищенный ультравысокочастотный | Температура окр. ср. | -60...+125 °С |
Rном | 7,5 ... 100 Ом | |
Рном | До 100 Вт | |
Допуск | ±2 %; ±5 %; ±10 %; | |
ТКС | -(5 ... 6)*10-3 1/°С |
3.2.
В металлопленочных резисторах в качестве резистивного элемента используется тонкая пленка специального сплава или металла, нанесенная на изоляционное основание методом вакуумного испарения или катодного напыления. Величина сопротивления определяется составом сплава и технологией нанесения пленки. Наиболее употребим: вольфрам (W), хром (Cr), титан (Ti), тантал (Та) и др.
Юстировка высокоомных металлопленочных резисторов осуществляется путем нарезки спирали или создания продольных изолирующих полос. Применяется также лазерная подгонка, полирование.
Достоинства:
- повышенная термостойкость;
- малый коэффициент напряжения (изменение величины сопротивления при различных приложенных напряжениях);
- малый уровень собственных шумов;
- широкий диапазон номинальных значений сопротивления;
- хорошие частотные характеристики;
- стабильность, влагостойкость, меньшие размеры (по сравнению с углеродистыми резисторами).
Для основания металлопленочных резисторов используются различные материалы: керамика, стекла, слоистые пластики, ситаллы, обладающие хорошей адгезией с металлом.
Недостатком является сравнительно малая устойчивость к импульсным нагрузкам вследствие неоднородности проводящей пленки. В местах микронеоднородностей в импульсном режиме возникают локальные перегревы, что может привести к разрушению пленки.
Параметры основных разновидностей этого типа резисторов представлены в таблице 3.3.
Контактные узлы резисторов изготовляются из титана. Для улучшения электрического контакта между проводящим слоем и металлическим колпачком на край проводящего слоя наносится никель.
Характерной особенностью металлопленочных резисторов является то, что они могут иметь как положительный, так и отрицательный ТКС. Это необходимо учитывать при применении их в различных схемах.
Тип резистора | Параметр | Значение |
МТ Металлопленочные термостойкие | Температура окр. ср. | -60...+200 °С |
Rном | 8,2 Ом ... 10 МОм | |
Uраб | До 700 В | |
Рном | 0,125...2 Вт | |
D | 1 мкВ/В | |
ТКС | ±(0,12...16)*10-4 1/°С | |
МЛТ Металлопленочный лакированный термостойкий и ОМЛТ (то же повышенной надежности) | Температура окр. ср. | -60...+125 °С |
Rном | 8,2 Ом ... 10 МОм | |
Uраб | До 700 В | |
Рном | 0,125...2 Вт | |
D | 1 мкВ/В | |
ТКС | ±(0,12...16)*10-4 1/°С | |
МГП Металлопленочный герметизированный прецизионный | Температура окр. ср. | -40...+55 °С |
Rном | 10 кОм ... 5,1 МОм | |
Допуск | ±0,5 %; ±1 % | |
Uраб | До 400 В | |
Рном | 0,5 Вт | |
D | 5 мкВ/В | |
ТКС | ±(1...3)*10-4 1/°С | |
МУН Металлопленочный ультравысокочастотный незащищенный | Температура окр. ср. | -60...+125 °С |
Rном | более 1 МОм | |
Uраб | До 750 В | |
Рном | 0,5...2 Вт | |
ТКС | ±(0,12...16)*10-4 1/°С |
Металлоокисные резисторы по своим свойствам близки к металлопленочным, но их технология более проста. Токопроводящий элемент - жаропрочные окислы металлов SnO2; Sb2O3; ZnO2. Наибольшее применение нашли резисторы на основе двуокиси олова SnO2. Отличительными особенностями металлоокисных резисторов являются:
- более прочный контакт с основанием;
- повышенная термостойкость;
- стойкость к воздействию кислот и щелочей;
- невысокий ТКС.
Резисторы типов: МОН - металлоокисные низкоомные (см. рис. 3.1 (а)) и МОУ - металлоокисные ультравысокочастотные (см. рис. 3.1(б) и (в)) могут работать с перегревом и перегрузкой по мощности.

Рис. 3.1. Конструкции металлоокисных резисторов
Параметры и основные разновидности представлены в таблице 3.4.
Параметры п | редставителей металлоокисных резисторов | |
Тип резистора | Параметр | Значение |
МОН Металлоокисный низкоомный | Температура окр. ср. | -60...+200 °С |
Rном | 1...270 Ом | |
Допуск | ±5 %;±10 %;±20 %; | |
Uраб | До 600 В | |
Рном | 0,5...2 Вт | |
ТКС | +5*10-4 1/°С | |
МОУ Металлоокисный ультравысоко частотный | Температура окр. ср. | -60...+200 °С |
Rном | 10...150 Ом | |
Допуск | ±5 % | |
Uраб | До 17,5 кВ | |
Рном | 0,1...200 Вт | |
ТКС | ±(2...5)*10-4 1/°С | |
В металлодиэлектрических резисторах резистивный слой выполняется из сложных композиций, состоящих как из проводящих, так и диэлектрических компонентов.
Используют палладий, радий, окись кадмия, стекло, керамику, полимеры.
Металлизированные резисторы типа С6-1...9 применяются для работы в диапазоне СВЧ вплоть до частот 26 ГГ ц. Они используются в аттенюаторах СВЧ, в измерительных цепях и т.д., конструктивно выполнены без выводов.
Параметры и основные разновидности представлены в таблице 3.5.
Тип резистора | Параметр | Значение |
С2-13 герметизированный С2-14 лакированный С2-15 опрессованный | Температура окр. ср. | -60...+125 °С |
Rном | 1 Ом ...1 МОм | |
Допуск | ±0,1 % ... ±2 % | |
Uраб | До 500 В | |
Рном | 0,125...1 Вт | |
D | 1 мкВ/В | |
ТКС | ±(0,25...3)*10-4 1/°С | |
С6-2 Сверхвысокочастотные специального назначения | Температура окр. ср. | -60...+125 °С |
Rном | 10...75 Ом | |
f | До 7 ГГц | |
Допуск | ±2 % | |
Рном | 0,125...0,5 Вт | |
ТКС | ±3-10-4 1/°С | |
С6-3 то же | Температура окр. ср. | -10...+125 °С |
Rном | 50 Ом | |
f | До 18 ГГц | |
Допуск | ±1 %; ±2 % | |
Рном | 0,5 Вт | |
ТКС | ±2*10-4 1/°С | |
Р1-1 Пластинчатый неизолированный | Температура окр. ср. | -60...+125 °С |
Rном | 50, 100 Ом | |
f | До 4 ГГц | |
Допуск | ±1 %; ±2 %; ±5 % | |
Рном | 5 Вт | |
ТКС | ±1,5*10-4 1/°С |
Проводящий слой композиционных резисторов состоит из смеси проводящего элемента, например, графита или сажи с органическими или не органическими связующими (фенольные и эфирные смолы) с наполнителем, пластификатором и отвердителем.
Технология производства композиционных резисторов позволяет получать резисторы с величиной сопротивления от долей Ом до нескольких ТОм.
Достоинства:
- возможность получения проводящего элемента любой формы;
- технология изготовления не требует сложного оборудования и дорогих материалов;
- возможность изменения величины сопротивления и значения ТКС за счет состава композиции и ее обработки;
- невысокая стоимость.
Недостатки:
- зависимость величины сопротивления от приложенного напряжения;
- значительный уровень собственных шумов;
- ограничения по частоте (при росте частоты растут диэлектрические потери);
- параметры резисторов зависят от температуры и влажности.
Большой уровень токовых шумов и частотная зависимость
являются следствием зернистой структуры композиционных материалов. Поэтому композиционные резисторы не используются в высокочастотной и точной аппаратуре. Выпускаются резисторы с проводящим элементом объемного и пленочного типа. Первые получают путем прессования композиционной смеси, а вторые - нанесением суспензии на изоляционное основание. На рисунке 3.2 представлены представители КЛМ, КВМ и КИМ, а в таблице 3.6 даны их параметры.

Рис. 3.2. Конструкции композиционных резисторов: а) - КЛМ; б) - КВМ; в) - КИМ
Представителями композиционных резисторов специального назначения являются КЭВ - композиционный эмалированный высоковольтный, а также ТВО и С4-1. Их параметры приведены в таблице 3.7. Резистивный элемент С4-1 объемного типа, защищен стеклокерамической оболочкой.
Тип резистора | Параметр | Значение |
КЛМ Композиционный лакированный малогабаритный | Температура окр. ср. | -60...+100 °С |
Rном | 10 МОм ...1 ТОм | |
Допуск | ±5 % ... ±20 % | |
Uраб | До 350 В | |
Рном | 0,01 Вт | |
Влажность | До 98% | |
ТКС | ±(2,5)*10-3 1/°С | |
КВМ Композиционный вакуумированный малогабаритный | Температура окр. ср. | -60...+85 °С |
Rном | 15 МОм ...1 ТОм | |
Допуск | ±2 %; ±10 %; ±20 % | |
Uраб | До 100 В | |
Влажность | До 98% | |
ТКС | ±(2)*10-3 1/°С | |
КИМ Композиционный изолированный малогабаритный | Температура окр. ср. | -60...+125 °С |
Rном | 10 Ом ...1 ГОм | |
Допуск | ±5 %; ±10 %; ±20 % | |
Uраб | До 200 В | |
Рном | 0,05...0,125 Вт | |
D | 5 ... 15 мкВ/В | |
Влажность | До 98% | |
ТКС | ±(2)*10-3 1/°С |
Тип резистора | Параметр | Значение |
ТВО композиционный теплостойкий и влагостойкий опрессованный | Температура окр. ср. | -60...+155 °С |
Rном | 3 Ом ...1 МОм | |
Допуск | ±5 %; ±10 %; ±20 % | |
Uраб | До 750 В | |
Рном | 0,125...60 Вт | |
D | До 10 мкВ/В | |
Влажность | До 98% | |
ТКС | ±(1,2...1,8)*10-3 1/°С | |
С4-1 для работы при повышенных температурах | Температура окр. ср. | -60...+350 °С |
Rном | 10 Ом ...1 МОм | |
Допуск | ±5 %; ±10 %; ±20 % | |
Uраб | До 750 В | |
Рном | 0,25...2 Вт | |
D | До 10 мкВ/В | |
Влажность | До 98% | |
ТКС | ±(2)*10-3 1/°С |
Основным конструктивным элементом резистора типа СП (сопротивление переменное) является подковообразная пластина с нанесенным на одну из сторон проводящим слоем. Изменением положения щетки, скользящей по поверхности этого слоя, варьируют сопротивление между средним и крайними выводами (см. рис. 3.3). Кроме цилиндрических конструкций с вращательным движением подвижной системы выпускаются резисторы с поступательным движением в виде параллелепипеда. Корпуса переменных резисторов могут быть цилиндрические, квадратные, прямоугольные и фигурные.
Все переменные резисторы различаются по номинальной мощности, конструкции и виду функциональной характеристики. (ФХ) (см. рис. 3.3). ФХ зависит от угла поворота оси ф и может быть линейной (а), логарифмической (б) и обратно логарифмической (в). Резисторы с линейной характеристикой применяются в различных схемах для настройки режимов работы, а оставшиеся две - в основном для регулировки тембра и громкости. Резисторы с синусоидальными и косинусоидальными ФХ используются в устройствах автоматики и вычислительной техники. Другие типы ФХ используются в электрорадиоэлементах, изготавливаемых на заказ и имеют специальное назначение.

Рис. 3.3. Конструкция переменного сопротивления и его функциональная характеристика
Особыми параметрами резисторов переменного сопротивления являются следующие.
1. Шумы вращения - возникают за счет изменения переходного сопротивления, возникающего во время поворота подвижной системы и за счет возникновения термо ЭДС при быстром вращении движка из-за неоднородности структуры и дефектов в проводящем элементе и контактной щетке. Измерение шумов вращения производится на шумометре со скоростью 60...80 об/мин. Уровень шумов зависит от ряда параметров работы: состояния и структуры резистивного элемента и подвижного контакта, силы прижатия, скорости перемещения. У непроволочных переменных резисторов уровень шумов вращения значительно ниже по сравнению с проволочными конструкциями.
2. Износоустойчивость - способность сохранять свои первоначальные параметры при неоднократных вращениях подвижной системы. Износоустойчивость прецизионных резисторов составляет 105 ... 107 циклов, резисторов общего назначения 5-103 ... 105 циклов, а подстроечных - не более 103 циклов.
По конструктивному исполнению СП делятся на группы, обозначаемые римской цифрой:
СП-I - без стопора оси;
СП-II - со стопором оси;
СП-III - без стопора, сдвоенные резисторы, состоящие из двух переменных резисторов;
СП-IV - со стопором, сдвоенные резисторы, состоящие из двух переменных резисторов;
СП-V - одинарный резистор без стопора оси и фиксаторов корпуса, для микромодульной аппаратуры.
В зависимости от допускаемых условий эксплуатации резисторы переменного сопротивления делятся на III группы (таблица 3.8). Параметры резисторов СП3 приведены в таблице 3.9, а их разновидности - на рисунке 3.4.
Группа резисторов | Интервалы рабочих температур, °С | Допустимое значение относит. влажности воздуха, % | Атмосферное давление, не менее, мм. рт. ст. |
I | -65...+125 | 98 (при +40 °С) | 0,05 |
II | -65...+100 | 98 (при +40 °С) | 5 |
III | -40...+70 | 85 (при +25 °С) | 400 |
Па | заметры резистора типа СП | |
Тип резистора | Параметр | Значение |
СП3-4 регулируемый | Температура окр. ср. | -45...+70 °С |
Rном | 100 Ом ...4,7 МОм | |
Допуск | ±20 %; ±30 % | |
ФХ | А, Б, В | |
Uраб | До 150 В | |
Рном | 0,05 ... 0,25 Вт | |
D | до 20 мкВ/В | |
U шумов перемещения | Не более 100 мВ | |
Износоустойчивость | До 25 тыс. циклов | |
ТКС | До ±2*10-3 1/°С | |
СП3-25 регулируемый | Температура окр. ср. | -60 ...+100 °С |
Rном | 680 Ом ... 680 кОм | |
Допуск | ±20 % | |
ФХ | А, Б, В | |
Uраб | До 300 В | |
Рном | 0,125 ... 0,5 Вт | |
D | до 20 мкВ/В | |
U шумов перемещения | Не более 50 мВ | |
Износоустойчивость | До 20 тыс. циклов | |
ТКС | До ±1*10-3 1/°С | |

Рис. 3.4. Разновидности резисторов СП3-4
Представителями переменных резисторов также являются.
СП-3 - композиционные резисторы пленочного типа. СП-3-1 до 10 применяются для печатного и объемного монтажа, для радиоприемных устройств, телевизионной аппаратуры, для микромодульных схем. СП3-7 - для работы в импульсных режимах и для аппаратуры со стереофоническим звучанием. Rном = 1 кОм ...4,7 МОм.
СП3-19 и СП3-28 - на основе кермета, используются в цепях переменного и постоянного тока в импульсных режимах в микромодульной аппаратуре.
СП3-19 - корпус в виде прямоугольника или цилиндра.
СП3-28 - бескорпусной.
СП3-24, 34, 36 и 40 - многооборотные с линейными и нелинейными ФХ. Параметры некоторых резисторов указаны в таблице 3.10 [3,6].
СПЧ - проводящий элемент запрессовывается в керамику. Выпускается только с линейной характеристикой. Параметры приведены в таблице 3.10.
Тип резистора | Параметр | Значение |
СП3-24 Сопротивление переменное многооборотного типа | Температура окр. ср. | -45...+70 °С |
Rном | 4,7 Ом ...1 МОм | |
Допуск | ±20 %; ±30 % | |
ФХ | А, Б, В | |
Uраб | До 110 В | |
Рном | 0,125; 0,25 Вт | |
D | До 40 мкВ/В | |
Износоустойчивость | До 1000 циклов | |
ТКС | ±(0,2)*10-3 1/°С | |
СП3-19, СП3-28 керметные | Температура окр. ср. | -60...+125 °С |
Rном | 10 Ом ... 1 МОм | |
Допуск | ±10 %; ±20 % | |
ФХ | А | |
Uраб | До 150 В | |
Рном | 0,125... 0,5 Вт | |
D | До 20 мкВ/В | |
Износоустойчивость | До 500 циклов | |
ТКС | ±(0,5)*10-3 1/°С |
У таких резисторов проводящий элемент в виде проволоки на основе высокоомных сплавов (манганин, нихром, константан) наматывается на какой-либо каркас.
Проволочные резисторы способны рассеивать значительные мощности, причем, компонент, рассчитанный на мощность 50 Вт, является достаточно распространенным, а возможно найти компоненты, рассчитанные на мощности до 1 кВт (см. рис. 3.5).

Рис. 3.5. Конструкция проволочного резистора
Высокоомная проволока или лента навивается на стержень, а затем ее концы привариваются к торцевым колпачкам, к которым впоследствии привариваются выводы резистора. Резисторы, имеющие небольшую мощность рассеяния (до 20 Вт), затем покрываются керамической глазурью, предотвращающей смещение витков проволоки, а также герметизирующей сам элемент. Резисторы, рассчитанные на большие мощности, могут иметь навинчивающиеся торцевые колпачки и устанавливаться в прессованные алюминиевые экраны, обеспечивающие хороший теплоотвод от резистивного элемента к внешнему теплоотводящему радиатору. Однако резисторы с высокими значениями сопротивлений имеют, как правило, большое количество плотно расположенных витков из тонкого высокоомного провода, поэтому вероятность развития дугового разряда между соседними витками определяет величину рабочего напряжения.
Преимущества:
- высокая стабильность электрических параметров;
- малый ТКС;
- незначительный собственный шум;
- повышенная точность.
Недостатки:
- сравнительно высокая стоимость;
- значительная собственная индуктивность и емкость;
- большие габариты в связи с трудностями получения тонких длинных проводов из различных металлов и сплавов.
Интересен следующий факт. Зная, что приближенно величина сопротивления проволочного однослойного резистора пропорциональна:
R ∞ 1/d3 а индуктивность L ∞ 1/d2, то отношение величин L/R ∞ d
пропорционально диаметру провода, поэтому величина соотношения L к R будет возрастать при использовании более толстого провода. Из-за этого резисторы, в которых использован низкоомный провод будут обладать более высокими значениями индуктивности. А для резисторов с сопротивлением больше 10 кОм индуктивность будет пренебрежимо мала.
Наиболее широкое применение получили проволочные резисторы типов: ПЭ - проволочный эмалированный (рис. 3.6 (а)); ПЭВ - влагостойкий; ПЭВР - регулируемый (рис. 3.6 (б)).

Рис. 3.6. Конструкции проволочных резисторов
Параметры представителей проволочных резисторов приведены в таблице 3.11.
Некоторые представители многослойных проволочных резисторов:
ПТ - проволочный точный;
ПТН - проволочный точный из нихрома;
ПТМ - проволочный точный из манганина;
ПТМН - проволочный точный малогабаритный из нихрома; СП5-5 - на керамическом основании;
СП5-6 - помещен в защитный корпус.
Параметры СП5 указаны в таблице 3.11.
Другой разновидностью проволочных резисторов являются переменные резисторы на их основе (см. рис. 3.7). Представители:
ПП 1-1...9 - низкоомные;
ПП 3-1...47 - высокоомные;
а) одинарные без выключателя;
б) одинарные с выключателем;
в) сдвоенные, все без выключателя Rном = 2,2 Ом ... 20 кОм.
Для микромодульной аппаратуры используются переменные
проволочные резисторы типа СП5-1...15. Параметры некоторых проволочных переменных резисторов указаны в таблице 3.12 [6].

Рис. 3.7. Проволочный переменный резистор (без кожуха): 1- обмотка; 2 – скользящий контакт; 3 - токосъемник; 4 - вывод движка; 5 - вывод концов обмотки; 6 - каркас; 7 - ручка
Тип резистора | Параметр | Значение |
ПЭ Проволочный эмалированный | Температура окр. ср. | -60...+155 °С |
Rном | 3 Ом ...51 кОм | |
Допуск | ±5 %; ±10 % | |
Рном | 3...150 Вт | |
ТКС | ±0,5*10-3 1/°С | |
ПЭВ Проволочный эмалированный влагостойкий | Температура окр. ср. | -60...+155 °С |
Rном | 1 Ом ...56 кОм | |
Допуск | ±5 %; ±10 % | |
Uраб | До 1,4 кВ | |
Рном | 7,5...100 Вт | |
ТКС | ±(5)*10-4 1/°С | |
С5-16 Проволочные прецизионные | Температура окр. ср. | -60...+155 °С |
Rном | 0,1 Ом ...10 Ом | |
Допуск | ±0,5%; ±1%; ±2%; ±5% | |
Uраб | До 350 В | |
Рном | 1...10 Вт | |
ТКС | ±1,5*10-4 1/°С | |
С5-23 для цепей постоянного тока высоковольтный | Температура окр. ср. | +10 ...+40 °С |
Rном | 200 МОм | |
Допуск | ±2% | |
Uраб | До 25 кВ | |
ТКС | ±3*10-5 1/°С | |
Масса | До 1 кг | |
С5-40 высоковольтные для импульсного режима работы, малоиндуктивные | Температура окр. ср. | -60 ...+300 °С |
Rном | 10 Ом ... 10 кОм | |
Допуск | ±5%; ±10% | |
Uраб | До 35 кВ | |
Рном | 10 ... 500 Вт | |
τ | (2 ... 100)*10-9 с | |
ТКС | ±2,4*10-4 1/°С |
Тип резистора | Параметр | Значение |
ПЭВР Сопротивление переменное эмалированное, влагостойкое, регулируемое | Температура окр. ср. | -60...+155 °С |
Rном | 3 Ом ... 2,7 кОм | |
Допуск | ±5 %; ±10 % | |
Uраб | До 1400 В | |
Рном | 10 ... 100 Вт | |
ТКС | ±5*10-4 1/°С | |
ПП2-11...22 | Температура окр. ср. | -60...+85 °С |
Rном | 4,7 Ом ... 20 кОм | |
Допуск | ±10 % | |
Uраб | До 350 В | |
Рном | 2 Вт | |
ФХ | А | |
Износоустойчивость | До 2500 циклов | |
ПП3-1...19 | Температура окр. ср. | -60...+100 °С |
Rном | 3,3 Ом ... 20 кОм | |
Допуск | ±5 %; ±10 % | |
Uраб | До 350 В | |
Рном | 3 Вт | |
ФХ | А | |
Износоустойчивость | До 5000 циклов | |
СП5-2,3 Подстроечные частотой до 10 кГц | Температура окр. ср. | -60...+155 °С |
Rном | 100 Ом ... 47 кОм | |
Допуск | ±5 %; ±10 % | |
Uраб | До 300 В | |
Рном | 0,5 ... 1 Вт | |
ФХ | А | |
Износоустойчивость | До 200 циклов | |
СП5-35,40 регулируемые | Температура окр. ср. | -60...+125 °С |
Rном | 33 Ом ... 68 кОм | |
Допуск | ±10 % | |
Uраб | До 500 В | |
Разр. сnособность | До 0,0005% | |
Рном | 0,5 ... 5 Вт | |
ФХ | В виде ломаной кривой | |
Износоустойчивость | До 10 тыс. циклов |
Для переменных проволочных резисторов характерным параметром является разрешающая способность. Она зависит от числа витков резистивного элемента и определяется изменением сопротивления при перемещении подвижного контакта на один виток. Чем больше витков содержит резистивный элемент, тем выше разрешающая способность. Разрешающая способность резисторов общего применения находится в пределах 0,1...3 %, а прецизионных - до тысячных долей процента.
Резисторы СП5-35 и СП5-40 - специальные с повышенной электрической разрешающей способностью. В их конструкции предусмотрены две подвижные системы: при повороте вала вначале осуществляется поворот точной системы, а когда она доходит до упора, то начинает поворачиваться подвижная система грубого изменения сопротивления.
Шумы вращения проволочных переменных резисторов значительно больше, чем у пленочных и составляют величину 15...30 мВ.
Резистивный элемент выполняется из фольги, прикрепленной к изоляционной подложке плоской или цилиндрической формы. Толщина фольги 0,002...0,1 мм. Материалом фольги служат высокоомные сплавы: манганин, константан, никеля с молибденом и чистый никель. Металлофольговые резисторы сочетают достоинства проволочных: низкий уровень шумов, высокая точность (до ±0,001%) и стабильность; и пленочных резисторов: технологичность, широкий частотный диапазон и диапазон номинальных значений (до десятков МОм).
С изменением температуры возможны внутренние напряжения из-за различных коэффициентов температурного расширения фольги и подложки. При правильном подборе материалов подложки и фольги, изменения сопротивлений можно скомпенсировать.
Используются в медицине, точном приборостроении, связи, компьютерной технике, автоэлектронике, для военного и космического применения и т.д.
Для использования в микроэлектронной аппаратуре и микросборках выпускают, например, металлофольговые прецизионные резисторы типов С5-61, 62, которые предназначены для работы в высокочастотных цепях прецизионной измерительной аппаратуры и вычислительной техники. Резисторы С5-61 предназначены для печатного монтажа, а С5-62 - для навесного монтажа в гибридных интегральных схемах. Параметры представителей металлофольговых резисторов представлены в таблице 3.13.
Еще одна область применения металлофольговых резисторов - в качестве тензодатчиков.
Тензорезисторы прямоугольного и розеточного типа, предназначены для измерения деформации деталей машин, металлоконструкций и т.д. при статических нагрузках, а также в качестве чувствительных элементов силоизмерительных датчиков в условиях макроклиматических районов с умеренным и холодным климатом. Конструкция тензорезисторов приведена на рис. 3.8. Их размер - не более 8,2х10 мм.
Тип резистора | Параметр | Значение |
С5-61, 62 Металлофольговый прецизионный | Температура окр. ср. | -60...+125 °С |
Rном | до 30 кОм | |
Допуск | ±0,005 % ... ±1 % | |
Рном | 0,125 Вт | |
Uраб | До 250 В | |
Разр. способность | До ±0,005% | |
ТКС | ± (1 ... 2)*10-5 1/°С | |
С5-25Ф и С5-53Ф металлофольговые прецизионные | Температура окр. ср. | -60...+125 °С |
Rном | 30 Ом ... 10 кОм | |
Допуск | ±0,05 % ... ±1 % | |
ТКС | (0,2 ... 0,3)*10-4 1/°С | |
Р2-67 Металлофольговые прецизионные защищенные изолированные | Температура окр. ср. | -60...+125 °С |
Rном | 1 Ом ... 20 кОм | |
Допуск | ±0,005 % ... ±1 % | |
Uраб | До 250 В | |
Рном | 0,125 ... 0,5 Вт | |
ТКС | ± (0,5 ... 3)*10-5 1/°С | |
2ФКП-5-200 Металлофольговый тензорезистор | Температура окр. ср. | -50...+70 °С |
Rном | 200 Ом | |
Допуск | ±0,35 %...±1 % | |
I | До 25 мА | |
Чувствительность | 1,9...2,3 |

Рис. 3.8. Конструкции тензорезисторов: а) типа 200,400; б) типа 2ФКРВ-3-400
| Масштабный обзор светодиодного освещения |
| Дуговая защита «Лайм» - прорыв технологий |
| Особенности фасадного освещения городских и загородных объектов |